

Hãy luôn nhớ cảm ơn và vote 5*
nếu câu trả lời hữu ích nhé!
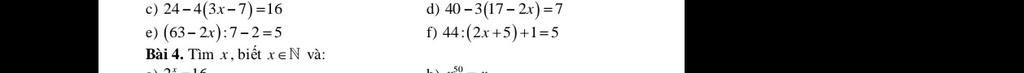
c ) 24 - 4 . ( 3x - 7 ) = 16
4 . ( 3x - 7 ) = 24 - 16
4 . ( 3x - 7 ) = 8
3x - 7 = 8 : 4
3x - 7 = 2
3x = 2 + 7
3x = 9
x = 9 : 3
x = 3
Vậy x = 3
d ) 40 - 3.( 17 - 2x ) = 7
3.( 17 - 2x ) = 40 - 7
3.( 17 - 2x ) = 33
17 - 2x = 33 : 3
17 - 2x = 11
2x =17 - 11
2x = 6
x = 6 : 2
x = 3
Vậy x = 3
e ) ( 63 - 2x ) : 7 - 2 = 5
( 63 - 2x ) : 7 = 5 + 2
( 63 - 2x ) : 7 = 7
63 - 2x = 7 . 7
63 - 2x = 49
2x = 63 - 49
2x = 14
x = 14 : 2
x = 7
Vậy x = 7
f ) 44 : ( 2x + 5 ) + 1 = 5
44 : ( 2x + 5 ) = 5 - 1
44 : ( 2x + 5 ) = 4
2x + 5 = 44 : 4
2x + 5 = 11
2x = 11 - 5
2x = 6
x = 6 : 2
x = 3
Vậy x = 3
#ntthoacbg
Xin hay nhất nếu đc ạ
Hãy giúp mọi người biết câu trả lời này thế nào?
Đáp án + Giải thích các bước giải:
`c) 24 - 4(3x - 7) = 16`
`4(3x - 7) = 24 - 16`
`4(3x - 7) = 8`
`3x - 7 = 8 : 4`
`3x - 7 = 2`
`3x` `= 2 + 7 = 9`
`x` `= 9 : 3 = 3`
`d) 40 - 3(17 - 2x) = 7`
`3(17 - 2x) = 40 - 7 = 33`
`17 - 2x = 33 : 3 = 11`
`2x = 17 - 11 = 6`
`x = 6 : 2 = 3`
`e) (63 - 2x) : 7 - 2 = 5`
`(63 - 2x) : 7 = 5 + 2 = 7`
`63 - 2x` `= 7 . 7 = 49`
`2x` `= 63 - 49 = 14`
`x` `= 14 : 2 = 7`
`f) 44 : (2x + 5) + 1 = 5`
`44 : (2x + 5) = 5 - 1 = 4`
`2x + 5 = 44 : 4 = 11`
`2x` `= 11 - 5 = 6`
`x` `= 6 : 2 = 3`
$#Ong_chăm_ chỉ$
Hãy giúp mọi người biết câu trả lời này thế nào?
Bảng tin