Đăng nhập để hỏi chi tiết


Hãy luôn nhớ cảm ơn và vote 5*
nếu câu trả lời hữu ích nhé!
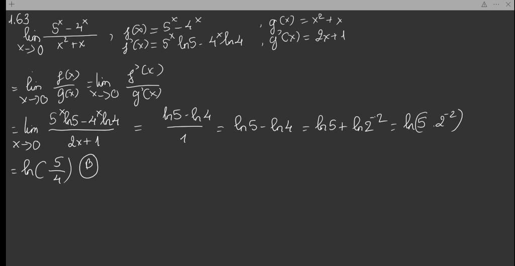
Đáp án:
Giải thích các bước giải:
Mình áp dụng quy tác Lhopital để giải , lưu ý chỉ đối với những dạng 0/0 hoặc vô cùng / vô cùng mới dùng được Lhopital , khi bạn giải vẫn còn ở dạng 0/0 hoặc vô cùng / vô cùng vẫn có thể dùng Lhopital để giải tiếp nhé , giống như bài 1.64
Hãy giúp mọi người biết câu trả lời này thế nào?
Bảng tin