Đăng nhập để hỏi chi tiết


Hãy luôn nhớ cảm ơn và vote 5*
nếu câu trả lời hữu ích nhé!

Đáp án:
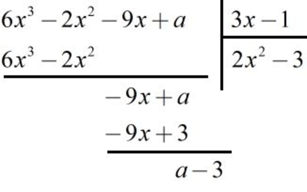
\(a=3\)
Giải thích các bước giải:
Vì \((6{x^3} - 2{x^2} - 9x + a):\left( {3x - 1} \right) = 2{x^2} - 3\) (dư \(a - 3\))
Để phép chia hết thì \(a - 3 = 0\) hay \(a = 3.\)
Hãy giúp mọi người biết câu trả lời này thế nào?
![]()
Bảng tin