Vui lòng chỉ chọn một câu hỏi
Hoidap247.com Nhanh chóng, chính xác
+
Danh mục mới
77
1894
51
Hãy luôn nhớ cảm ơn và vote 5* nếu câu trả lời hữu ích nhé!
725
2843
591
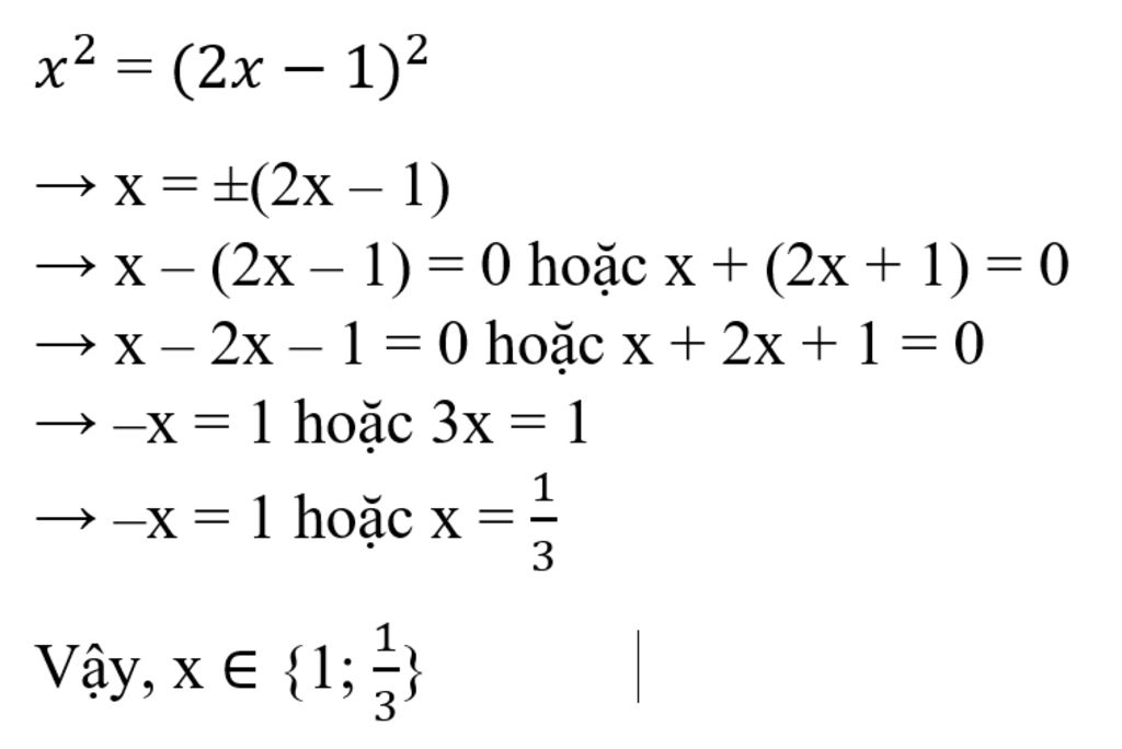
±Mình gửi bạn
Hãy giúp mọi người biết câu trả lời này thế nào?
Bảng tin
Gửi yêu cầu Hủy