Đăng nhập để hỏi chi tiết


Hãy luôn nhớ cảm ơn và vote 5*
nếu câu trả lời hữu ích nhé!
Đáp án:
Giải thích các bước giải:
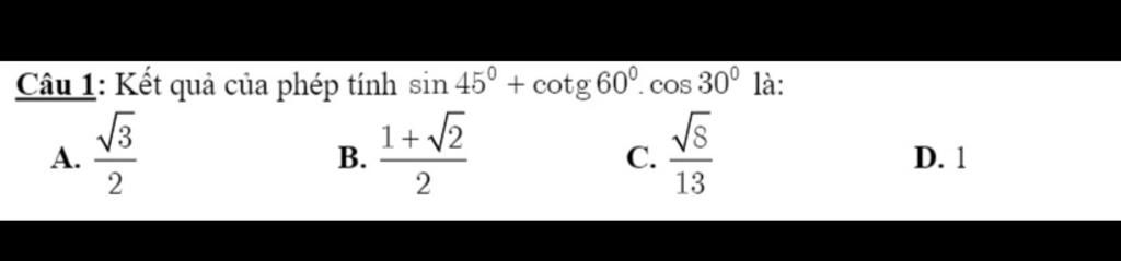
`sin\ 45^{0}+cotg\ 60^{0} . cos\ 30^{0}`
`=\frac{\sqrt{2}}{2}+\frac{\sqrt{3}}{3}.\frac{\sqrt{3}}{2}`
`=\frac{\sqrt{2}}{2}+\frac{1}{2}`
`=\frac{\sqrt{2}+1}{2}`
Hãy giúp mọi người biết câu trả lời này thế nào?
Đáp án: B
Giải thích các bước giải:
sin 45 độ + cot 60 độ * cos 30 độ
= √2/2 + √3/3 * √3/2
= √2/2 + 1/2
= ( 1 + √2 ) /2
Hãy giúp mọi người biết câu trả lời này thế nào?
Bảng tin