Đăng nhập để hỏi chi tiết


Hãy luôn nhớ cảm ơn và vote 5*
nếu câu trả lời hữu ích nhé!
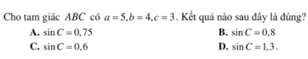
Đáp án:
Ta có :
`BC^2 = AB^2 + AC^2`
`<=> 5^2 = 4^2 + 3^2`
`<=> 25 = 16 + 9`
`=>∆ABC` vuông tại `A`(Định lí Pytago đảo)
Xét `∆ABC` vuông tại `A` ta có:
`sinC= 4/5 = 0,8`
`=> B`
Hãy giúp mọi người biết câu trả lời này thế nào?
![]()
Bảng tin
44
714
24
:)
3545
63941
3785
:)