

Hãy luôn nhớ cảm ơn và vote 5*
nếu câu trả lời hữu ích nhé!
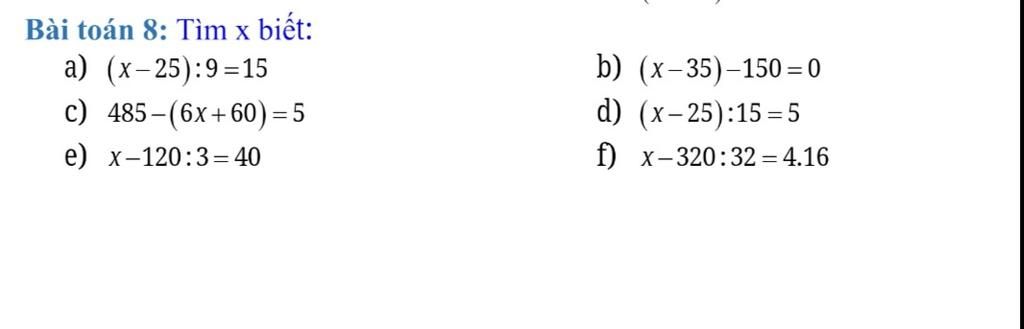
a). ( x - 25 ) : 9 =15
→ x - 25 = 15 . 9
→ x - 25 = 135
→ x = 135 + 25
→ x = 160
Vậy x = 160
b). (x - 35 ) - 150 = 0
→ x - 35 = 0 + 150
→ x - 35 = 150
→ x = 150 + 35
→ x = 185
Vậy x = 185
c). 485 - ( 6x + 60 ) = 5
→ 6x + 60 = 485 -5
→ 6x + 60 = 480
→ 6x = 480 - 60
→ 6x = 420
→ x = 70
Vậy x = 70
d). ( x - 25 ) : 15 = 5
→ x - 25 = 5 . 15
→ x - 25 = 75
→ x = 75 + 25
→ x = 100
Vậy x = 100
e). x - 120 : 3 = 40
→ x - 40 = 40
→ x = 40 + 40
→ x = 80
Vậy x = 80
f). x - 320 : 32 = 4 . 16
→ x - 10 = 64
→ x = 64 + 10
→ x = 74
Vậy x = 74
@changg
Hãy giúp mọi người biết câu trả lời này thế nào?
`a)(x-25):9=15`
`<=>x-25=9xx15`
`<=>x-25=135`
`<=>x=135+25`
`<=>x=160`
`b)(x-35)-150=0`
`<=>x-35=0+150`
`<=>x-35=150`
`<=>x=150+35`
`<=>x=185`
`c)485-(6x+60)=5`
`<=>6x+60=485-5`
`<=>6x+60=480`
`<=>6x=480-60`
`<=>6x=420`
`<=>x=420:6`
`<=>x=70`
`d)(x-25):15=5`
`<=>x-25=5xx15`
`<=>x-25=75`
`<=>x=75+25`
`<=>x=100`
`e)x-120:3=40`
`<=>x-40=40`
`<=>x=40-40`
`<=>x=0`
`f)x-320:32=4.16`
`<=>x-10=64`
`<=>x=64+10`
`<=>x=74`
Hãy giúp mọi người biết câu trả lời này thế nào?
Bảng tin