

Hãy luôn nhớ cảm ơn và vote 5*
nếu câu trả lời hữu ích nhé!
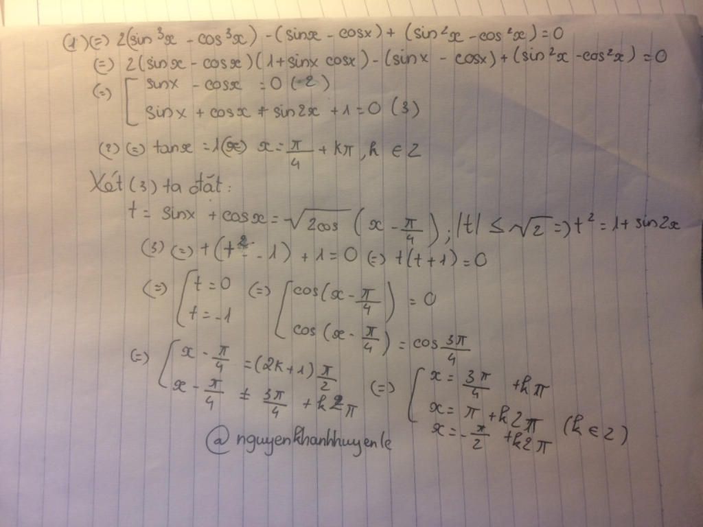
$\begin{array}{l}
2{\sin ^3}x - \sin x = 2{\cos ^3}x - \cos x + \cos 2x\\
\Leftrightarrow 2\left( {{{\sin }^3}x - {{\cos }^3}x} \right) + \left( {\cos x - \sin x} \right) - \cos 2x = 0\\
\Leftrightarrow 2\left( {{{\sin }^3}x - {{\cos }^3}x} \right) - \left( {\sin x - \cos x} \right) + {\sin ^2}x - {\cos ^2}x = 0\\
\Leftrightarrow 2\left( {\sin x - \cos x} \right)\left( {{{\sin }^2}x + \sin x\cos x + {{\cos }^2}x} \right) - \left( {\sin x - \cos x} \right) + \left( {\sin x - \cos x} \right)\left( {\sin x + \cos x} \right) = 0\\
\Leftrightarrow \left( {\sin x - \cos x} \right)\left( {2{{\sin }^2}x + 2\sin x\cos x + 2{{\cos }^2}x - 1 + \sin x + \cos x} \right) = 0\\
\Leftrightarrow \left( {\sin x - \cos x} \right)\left( {2 - 1 + \sin 2x + \sin x + \cos x} \right) = 0\\
\Leftrightarrow \left( {\sin x - \cos x} \right)\left( {\sin x + \cos x + \sin 2x + 1} \right) = 0\\
\Leftrightarrow \left[ \begin{array}{l}
\sin x - \cos x = 0\left( 1 \right)\\
\sin x + \cos x + \sin 2x + 1 = 0\left( 2 \right)
\end{array} \right.\\
\left( 1 \right) \Rightarrow \sqrt 2 \sin \left( {x - \dfrac{\pi }{4}} \right) = 0\\
\Leftrightarrow x - \dfrac{\pi }{4} = k\pi \Leftrightarrow x = \dfrac{\pi }{4} + k\pi \\
\left( 2 \right):t = \sin x + \cos x = \sqrt 2 \sin \left( {x + \dfrac{\pi }{4}} \right)\left( {\left| t \right| \le \sqrt 2 } \right)\\
\Rightarrow \sin 2x = {t^2} - 1\\
\left( 2 \right) \Leftrightarrow t + {t^2} - 1 + 1 = 0 \Leftrightarrow {t^2} + t = 0\\
\Leftrightarrow t\left( {t + 1} \right) = 0\\
\Leftrightarrow \left[ \begin{array}{l}
t = 0\\
t = - 1
\end{array} \right.\\
\Leftrightarrow \left[ \begin{array}{l}
\sqrt 2 \sin \left( {x + \dfrac{\pi }{4}} \right) = 0\\
\sqrt 2 \sin \left( {x + \dfrac{\pi }{4}} \right) = - 1
\end{array} \right.\\
\Leftrightarrow \left[ \begin{array}{l}
x + \dfrac{\pi }{4} = k\pi \\
x + \dfrac{\pi }{4} = - \dfrac{\pi }{4} + k2\pi \\
x + \dfrac{\pi }{4} = \dfrac{{5\pi }}{4} + k2\pi
\end{array} \right.\\
\Leftrightarrow \left[ \begin{array}{l}
x = - \dfrac{\pi }{4} + k\pi \\
x = - \dfrac{\pi }{2} + k2\pi \\
x = \pi + k2\pi
\end{array} \right.\left( {k \in Z} \right)\\
\end{array}$
Hãy giúp mọi người biết câu trả lời này thế nào?
Bảng tin
594
1599
588
anh hay chị gì ơi vào team em ko ạ^^
296
689
743
Xl mình ít onl lắm ạ
594
1599
588
dạ vâng ạ:((