

Hãy luôn nhớ cảm ơn và vote 5*
nếu câu trả lời hữu ích nhé!
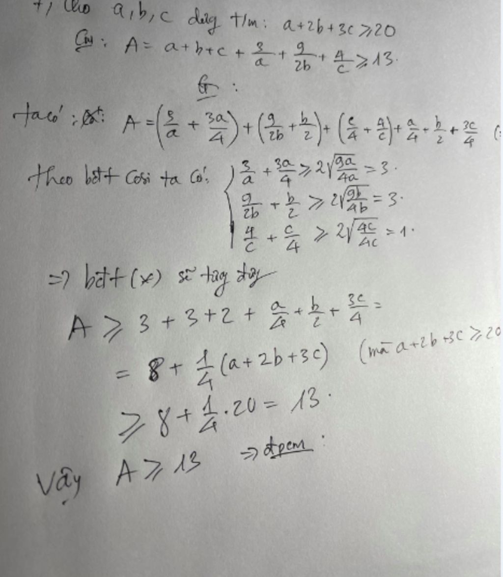
Đáp án:
Dấu `=` xảy ra khi :
`a=2,b=3,c=4` và ` $A_Min$ là `13`
Giải thích các bước giải:
Ta có điểm rơi của bài toán :
`a=2,b=3,c=4`
`->`Sơ đồ điểm rơi :
$a=2\rightarrow\begin{cases} \dfrac{a}{k}=\dfrac{3}{a}\\\dfrac{3}{a}=\dfrac{3}{2} \end{cases}\rightarrow\dfrac{2}{k}=\dfrac{3}{2}\rightarrow k=\dfrac{4}{3}$
$b=3\rightarrow\begin{cases} \dfrac{b}{m}=\dfrac{9}{2b}\\\dfrac{9}{2b}=\dfrac{3}{2} \end{cases}\rightarrow\dfrac{3}{m}=\dfrac{3}{2}\rightarrow m=2$
$c=4\rightarrow\begin{cases} \dfrac{c}{n}=\dfrac{4}{c}\\\dfrac{4}{c}=1\end{cases}\rightarrow\dfrac{4}{n}=1\rightarrow n=4$
Áp dụng bất đẳng thức `Cô-si` ta có :
`A=((3a)/4+3/a)+(b/2+9/(2b))+(c/4+4/c)+a/4+b/2+(3c)/4 ge 2sqrt{(3a)/4. 3a}+2 sqrt{b/2. 9/(2b)}+2sqrt{c/4 . 4/c}+(a+2b+3c)/4 ge 3+3+2+4=13`
Dấu `=` xảy ra khi :
`a=2,b=3,c=4` và ` $A_Min$ là `13`
Hãy giúp mọi người biết câu trả lời này thế nào?
Bảng tin