

Hãy luôn nhớ cảm ơn và vote 5*
nếu câu trả lời hữu ích nhé!

Đáp án+Giải thích các bước giải:
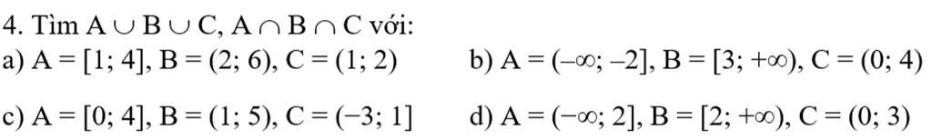
$\displaystyle \begin{array}{{>{\displaystyle}l}} a.\ A\cup B\cup C=[ 1;6) \cup ( 1;2) =[ 1;6)\\ A\cap B\cap C=( 2;4] \cap ( 1;2) =( 1;4] \backslash 2\\ b.\ A\cup B\cup C=( -\infty ;-2] \cup [ 3;+\infty ) \cup ( -3;1] =( -\infty ;+\infty ) \backslash ( 1;3)\\ A\cap B\cap C=\emptyset \\ c.\ A\cup B\cup C=[ 0;4] \cup ( 1;5) \cup ( -3;1] =[ 0;5) \cup ( -3;1] =( -3;5)\\ A\cap B\cap C=( 1;4] \cap ( -3;1] =\emptyset \\ d.\ A\cup B\cup C=( -\infty ;+\infty )\\ A\cap B\cap C=2\cap ( 0;3) =2 \end{array}$
Hãy giúp mọi người biết câu trả lời này thế nào?
Bảng tin