Đăng nhập để hỏi chi tiết


Hãy luôn nhớ cảm ơn và vote 5*
nếu câu trả lời hữu ích nhé!
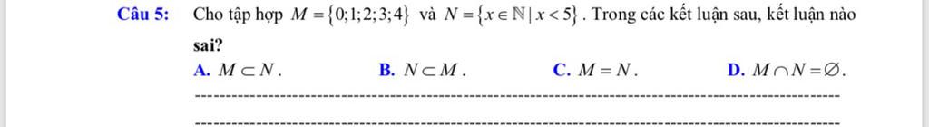
Đáp án: `D : M ∩ N = ∅`
Giải thích các bước giải:
Xét tập `N` : `N = {x ∈ N | x < 5}`
`⇒ N = {0 ; 1 ; 2 ; 3 ; 4}`
mà `M = {0 ; 1 ; 2 ; 3 ; 4}`
`⇒ M = N` ; `M ⊂ N` hoặc `N ⊂ M`
Mặt khác đáp án `D` : `M ∩ N = ∅`
Do các phần tử trong hai tập hợp `M` và `N` bằng nhau nên tất nhiên giao của hai tập hợp này sẽ khác `∅` ⇒ `D` sai
Hãy giúp mọi người biết câu trả lời này thế nào?
![]()
Bảng tin