

Hãy luôn nhớ cảm ơn và vote 5*
nếu câu trả lời hữu ích nhé!
Đáp án:
Giải thích các bước giải:
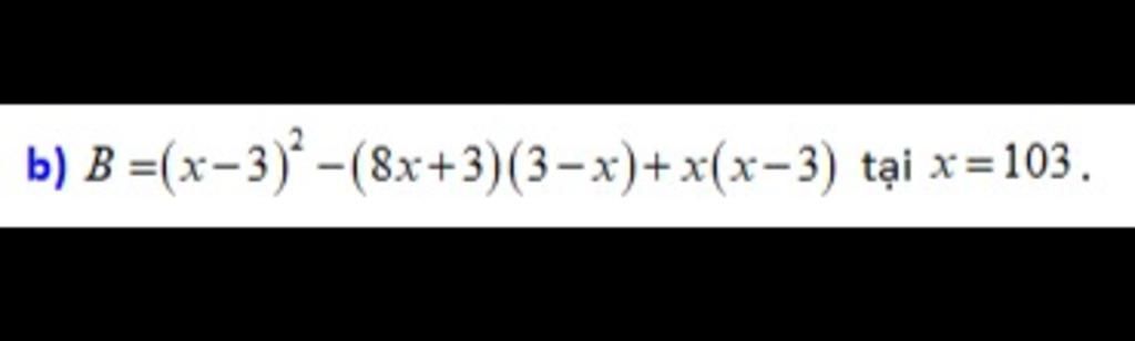
`B = (x-3)^2 - (8x+3)(3-x) +x(x-3) `
`=x^2 -2.x.3 +3^2 - [8x.3 +8x.(-x) +3.3 +3.(-x)] +x.x+x.(-3)`
`=x^2 -6x + 9 - (24x -8x^2 +9 -3x) +x^2 -3x`
`=x^2 -6x + 9 - 24x +8x^2 -9 +3x +x^2 -3x`
`=(x^2 +8x^2 +x^2) + (-6x -24x +3x-3x) + (9-9)`
`=10x^2 -30x`
Thay x=103
`=> 10. 103^2 - 30.103`
`=10.10609 -30.103`
`=106090 -3090`
`=103000`
Hãy giúp mọi người biết câu trả lời này thế nào?

Giải thích các bước giải:
B=(x-3)²+(8x+3)(3-x)+x(x-3)
=(x-3)((x-3)+(8x+3)+x
=10x(x-3)
Thay x=103 vào biểu thức B, ta có:
10.103(103-3)
=1030.100
=103000
Cho mình xin hay nhất nhé :))
Sai xót ở chỗ nào thì mong bạn bỏ qua cho ạ
Hãy giúp mọi người biết câu trả lời này thế nào?

Bảng tin
0
130
0
chữ đẹp nhỉ
2693
579
2166
kẹp đầu dòng và cuối dòng bằng dấu (`) hoặc ($) là được nhé bạn ;)
2693
579
2166
thử đi=))
0
130
0
ok bạn