

Hãy luôn nhớ cảm ơn và vote 5*
nếu câu trả lời hữu ích nhé!
Đáp án `+` Giải thích các bước giải:
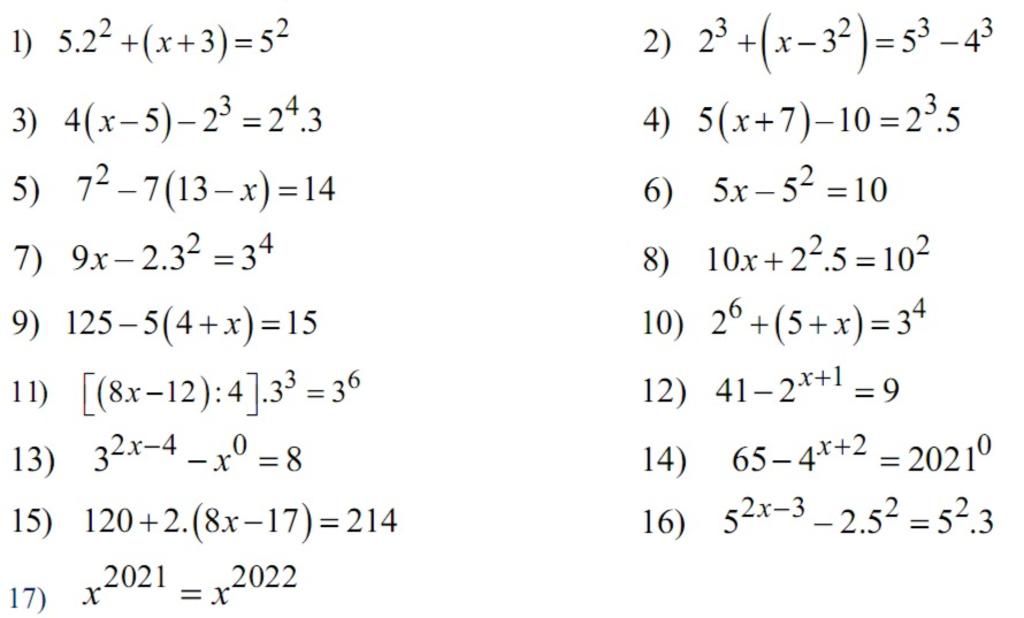
1) 5 . 2^2 + (x + 3) = 5^2
5 . 4 + (x + 3) = 25
20 + (x + 3) = 25
x + 3 = 25 - 20
x + 3 = 5
x = 5 - 3
x = 2.
2) 2^3 + (x - 3^2) = 5^3 - 4^3
8 + (x - 9) = 125 - 64
8 + (x - 9) = 61
x - 9 = 61 - 8
x - 9 = 53
x = 53 + 9
x = 62.
3) 4(x - 5) - 2^3 = 2^4 . 3
4(x - 5) - 8 = 16. 3
4(x - 5) - 8 = 48
4(x - 5) = 48 + 8
4(x - 5) = 56
x - 5 = 56 : 4
x - 5 = 14
x = 14 + 5
x = 19.
4) 5(x + 7) - 10 = 2^3 . 5
5(x + 7) - 10 = 8 . 5
5(x + 7) - 10 = 40
5(x + 7) = 40 + 10
5(x + 7) = 50
x + 7 = 50 : 5
x + 7 = 10
x = 10 - 7
x = 3.
5) 7^2 - 7(13 - x) = 14
49 - 7(13 - x) = 14
7(13 - x) = 49 - 14
7(13 - x) = 35
13 - x = 35 : 7
13 - x = 5
x = 13 - 5
x = 8.
6) 5x - 5^2 = 10
5x - 25 = 10
5x = 10 + 25
5x = 35
x = 35 : 5
x = 7.
7) 9x - 2 . 3^2 = 3^4
9x - 2 . 9 = 81
9x - 18 = 81
9x = 81 + 18
9x = 99
x = 99 : 9
x = 11.
8) 10x + 2^2 . 5 = 10^2
10x + 4 . 5 = 100
10x + 20 = 100
10x = 100 - 20
10x = 80
x = 80 : 10
x = 8.
9) 125 - 5(4 + x) = 15
5(4 + x) = 125 - 15
5(4 + x) = 110
4 + x = 110 : 5
4 + x = 22
x = 22 - 4
x = 18.
10) 2^6 + (5 + x) = 3^4
64 + (5 + x) = 81
5 + x = 81 - 64
5 + x = 17
x = 17 - 5
x = 12.
11) [(8x - 12) : 4] . 3^3 = 3^6
(8x - 12) : 4 = 3^6 : 3^3
(8x - 12) : 4 = 3^3
(8x - 12) : 4 = 27
8x - 12 = 27 . 4
8x - 12 = 108
8x = 108 + 12
8x = 120
x = 120 : 8
x = 15.
12) 41 - 2^(x + 1) = 9
2^(x + 1) = 41 - 9
2^(x + 1) = 32
2^(x + 1) = 2^5
x + 1 = 5
x = 5 - 1
x = 4.
13) 3^(2x - 4) - x^0 = 8
3^(2x - 4) - 1 = 8
3^(2x - 4) = 8 + 1
3^(2x - 4) = 9
3^(2x - 4) = 3^2
2x - 4 = 2
2x = 2 + 4
2x = 6
x = 6 : 2
x = 3.
14) 65 - 4^(x + 2) = 2021^0
65 - 4^(x + 2) = 1
4^(x + 2) = 65 - 1
4^(x + 2) = 64
4^(x + 2) = 4^3
x + 2 = 3
x = 3 - 2
x = 1.
15) 120 + 2(8x - 17) = 214
2(8x - 17) = 214 - 120
2(8x - 17) = 94
8x - 17 = 94 : 2
8x - 17 = 47
8x = 47 + 17
8x = 64
x = 64 : 8
x = 8.
16) 5^(2x - 3) - 2 . 5^2 = 5^2 . 3
5^(2x - 3) - 2 . 25 = 25 . 3
5^(2x - 3) - 50 = 75
5^(2x - 3) = 75 + 50
5^(2x - 3) = 125
5^(2x - 3) = 5^3
2x - 3 = 3
2x = 3 + 3
2x = 6
x = 6 : 2
x = 3.
17) x^2021 = x^2022
1^2021 = 1^2022
x = 1.
Hãy giúp mọi người biết câu trả lời này thế nào?
Bảng tin