Đăng nhập để hỏi chi tiết


Hãy luôn nhớ cảm ơn và vote 5*
nếu câu trả lời hữu ích nhé!
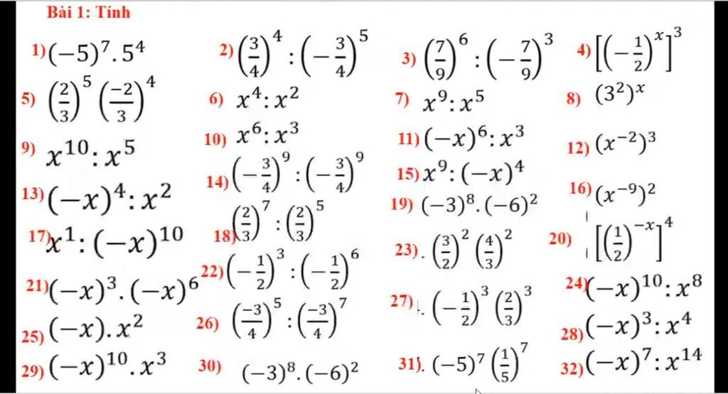
Đáp án:
1)(-5)^11
2)(3/4)^-1=(-4/3)
3)(-7/9)^3
4)(-1/2)^x nhân 3
5)Ko rõ vì ko có dấu
6)x^2
7)x^4
8)3^2 nhân x
9)x^5
10)x^3
11)x^3
12)x^-2 nhân 3=x^6
13)(-x)^2
14)(-x)^5
Những câu sau bạn làm tương tự nha.Mình chỉ làm tới đây thôi
Giải thích các bước giải:
Nhân,Chia là cộng hoặc trừ lũy thừa
Lũy thừa của lũy thừa là nhân với nhau
(cái này nếu ko hỉu thì hỏi mình nha)
HY VỌNG BẠN HÀI LÒNG VỚI CÂU TRẢ LỜI CỦA MÌNH
Hãy giúp mọi người biết câu trả lời này thế nào?
Bảng tin