

Hãy luôn nhớ cảm ơn và vote 5*
nếu câu trả lời hữu ích nhé!
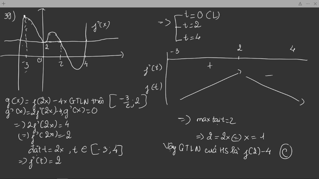
Đáp án:C
Giải thích các bước giải:
Chữ mình hơi xấu bạn thông cảm
Hãy giúp mọi người biết câu trả lời này thế nào?

À cậu ơi vấn đề là sao cậu biết điền dấu cộng hay trừ thế trong khi nó k có dữ liệu
bạn xem đề bài đã cho đồ thi của hàm f'(x) , mà f'(t) cũng chính là f'(x) chữ bên trong không ảnh hưởng , ta dựa vào đồ thị nằm phía trên 0 là +, nằm phía dưới 0 là - , tại trắc nghiệm nên cần làm nhanh không mốt đi thi đại học không kịp giờ
à nhầm bạn thấy đường thẳng 2 không nếu nằm trên đường đường thẳng 2 đó thì là + , nằm dưới đường thẳng đó thì là âm , tại mình mới ngủ dậy :)), nói bậy quá
Dạ cảm ơn nhiều lắm 😅
Bài này có nhất thiết phải đặt t ko bạn?
Bảng tin
750
17890
353
Bạn oi bạn xét dấu như thế nào vậy ạ???