

Hãy luôn nhớ cảm ơn và vote 5*
nếu câu trả lời hữu ích nhé!
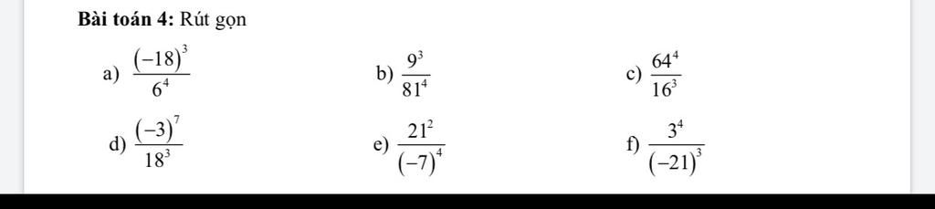
`a)(-18)^3/6^4= (-3^3. 6^3)/6^4=-27/6=-9/2`
`b)9^3/81^4=9^3/9^8=1/9^5=1/59049`
`c)64^4/16^3=2^24/2^12=(2^12)=4096`
`d)(-3^7)/18^3=(-3.3^6)/(2^3. 3^6)=-3/(2^3)=-3/8`
`e)21^2/(-7)^4=(3^2. 7^2)/(7^2. 7^2)=3^2/(7^2)=9/49`
`f)3^4/(-21)^3=3^4/(-7^3 .3^3)=3/(-7^3) =-3/343`
Hãy giúp mọi người biết câu trả lời này thế nào?

Bảng tin
3616
71100
2761
vào nhóm mk ko?
742
22737
1279
cho mình vào với ạ