

Hãy luôn nhớ cảm ơn và vote 5*
nếu câu trả lời hữu ích nhé!
Đáp án + Giải thích các bước giải:
`ĐK:x\ne y;x\ne -y`
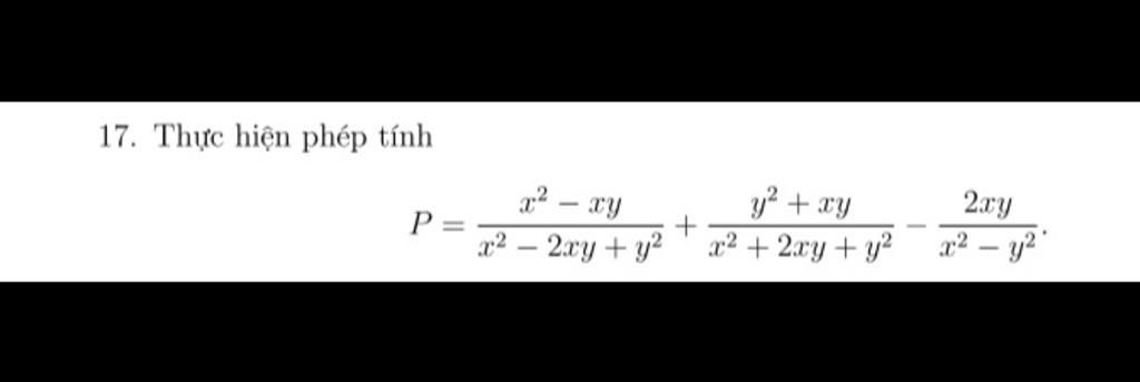
`P=(x^{2}-xy)/(x^{2}-2xy+y^{2})+(y^{2}+xy)/(x^{2}+2xy+y^{2})-(2xy)/(x^{2}-y^{2})`
`=(x(x-y))/((x-y)^{2})+(y(x+y))/((x+y)^{2})-(2xy)/((x-y)(x+y))`
`=(x)/(x-y)+(y)/(x+y)-(2xy)/((x-y)(x+y))`
`=(x(x+y)+y(x-y)-2xy)/((x-y)(x+y))`
`=(x^{2}+xy+xy-y^{2}-2xy)/((x-y)(x+y))`
`=(x^{2}-y^{2})/(x^{2}-y^{2})`
`=1`
Hãy giúp mọi người biết câu trả lời này thế nào?
`P=(x^2-xy)/(x^2-2xy+y^2)+(y^2+xy)/(x^2+2xy+y^2)-(2xy)/(x^2-y^2)`
`P=(x(x-y))/(x-y)^2+(y(y+x))/(x+y)^2-(2xy)/(x^2-y^2)`
`P=x/(x-y)+y/(x+y)-(2xy)/(x^2-y^2)`
`P=(x(x+y))/(x^2-y^2)+(y(x-y))/(x^2-y^2)-(2xy)/(x^2-y^2)`
`P=(x^2+xy+xy-y^2-2xy)/(x^2-y^2)`
`P=(x^2-y^2)/(x^2-y^2)`
`P=1`
Hãy giúp mọi người biết câu trả lời này thế nào?
Bảng tin