Vui lòng chỉ chọn một câu hỏi
Hoidap247.com Nhanh chóng, chính xác
+
Danh mục mới
0
60
Hãy luôn nhớ cảm ơn và vote 5* nếu câu trả lời hữu ích nhé!
2132
7113
3271
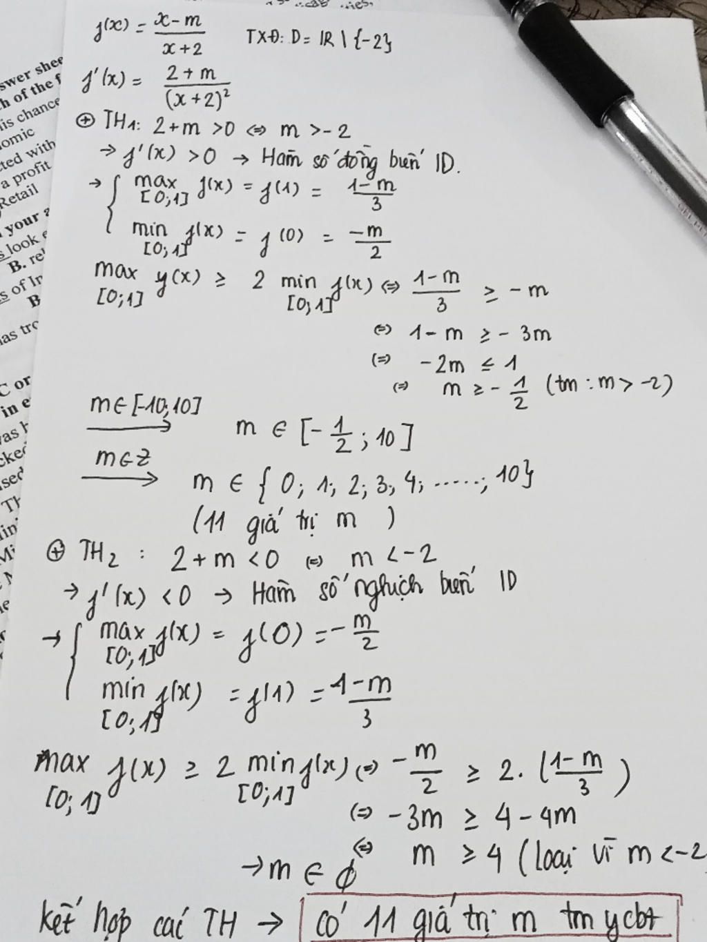
`11` giá trị `m` thoả mãn ycbt.
Hãy giúp mọi người biết câu trả lời này thế nào?
Bảng tin
Gửi yêu cầu Hủy