

Hãy luôn nhớ cảm ơn và vote 5*
nếu câu trả lời hữu ích nhé!
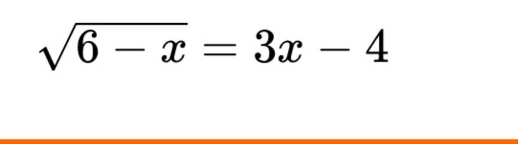
Đáp án+Giải thích các bước giải:
ĐKXD:
$\sqrt[]{6-x}$ lớn hơn hoặc bằng 0
suy ra: 6-x lớn hơn hoặc bằng 0
x nhỏ hơn hoặc bằng 6
3x-4 lớn hơn hoặc bằng 0
3x lớn hơn hoặc bằng 4
x lớn hơn hoặc bằng $\frac{4}{3}$
Vậy x nhỏ hơn hoặc bằng 6; x lớn hơn hoặc bằng $\frac{4}{3}$
Hãy giúp mọi người biết câu trả lời này thế nào?
Bảng tin
4860
113629
5511
tks
3293
264
3577
Ok bạn 😉