

Hãy luôn nhớ cảm ơn và vote 5*
nếu câu trả lời hữu ích nhé!
Đáp án:
Bài 1.50 trang 27 Toán lớp 6 Tập 1 - Kết nối tri thức với cuộc sống:
Tính giá trị của biểu thức:
a) 36 – 18:6;
b) 2.32 + 24:6.2;
c) 2.32 – 24:(6.2).
giải
a) 36 – 18:6 = 36 – 3 = 33;
b) 2.32 + 24:6.2 = 2.9 + 4.2 = 18 + 8 = 26;
c) 2.32 – 24:(6.2) = 2 . 9 – 24 : 12 = 18 – 2 = 16.
1.51 Viết kết quả phép tính dưới dạng một lũy thừa:
a) 33 : 32
b) 54 : 52
c) 83.82
d) 54.53:52
giải:
a) 33 : 32= 33-2 = 31
b) 54 : 52 = 54-2 =52
c) 83.82 = 83+2 = 85
d) 54.53:52= 54+3-2 = 55
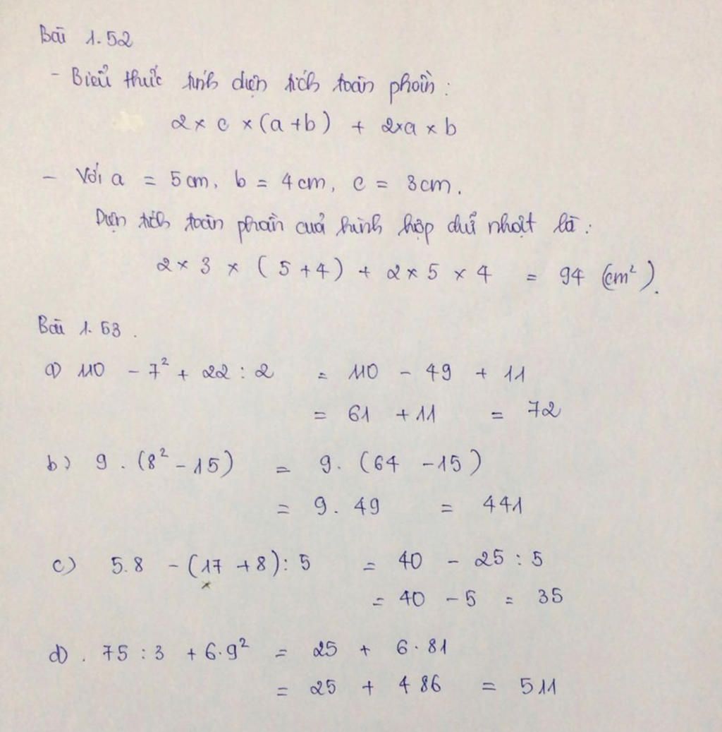
1.52 giải
Diện tích xung quanh của hình hộp chữ nhật là: 2.c.(a + b)
Diện tích đáy của hình hộp chữ nhật là: a.b
Diện tích toàn phần của hình hộp chữ nhật là: Stp = Sxq + 2Sday= 2.c.(a + b) + 2.a.b
Khi a = 5cm, b = 4cm, c = 3cm thì diện tích toàn phần của hình hộp chữ nhật là:
2.c.(a + b) + 2.a.b = 2. 3. (5 + 4) + 2. 5 . 4 = 6.9 + 40 = 54 + 40 = 94 (cm2)
1.53Vậy diện tích của hình hộp chữ nhật là 94 (cm2).
a) 110 – 72 + 22 : 2
b) 9 . (82 – 15);
c) 5 . 8 – ( 17 + 8 ) :5
d) 75 : 3 + 6 . 92;
giải:
a) 110 – 72 + 22:2 = 110 – 49 + 11 = 61 + 11 = 72;
b) 9.(82 – 15) = 9.(64 – 15 ) = 9.49 = 441;
c) 5.8 – (17 + 8):5 = 40 – 25:5 = 40 – 5 = 35;
d) 75:3 + 6.92 = 25 + 6.81 = 25 + 486 = 511
Cho mk xin vote! chúc bn học tốt
Giải thích các bước giải:
Hãy giúp mọi người biết câu trả lời này thế nào?
Bảng tin
79
3742
48
thiếu 2 phần bn ạ
2
12
1
Mik có nói là còn phần bên trái á bn
79
3742
48
uh mk ko để ý