Đăng nhập để hỏi chi tiết


Hãy luôn nhớ cảm ơn và vote 5*
nếu câu trả lời hữu ích nhé!
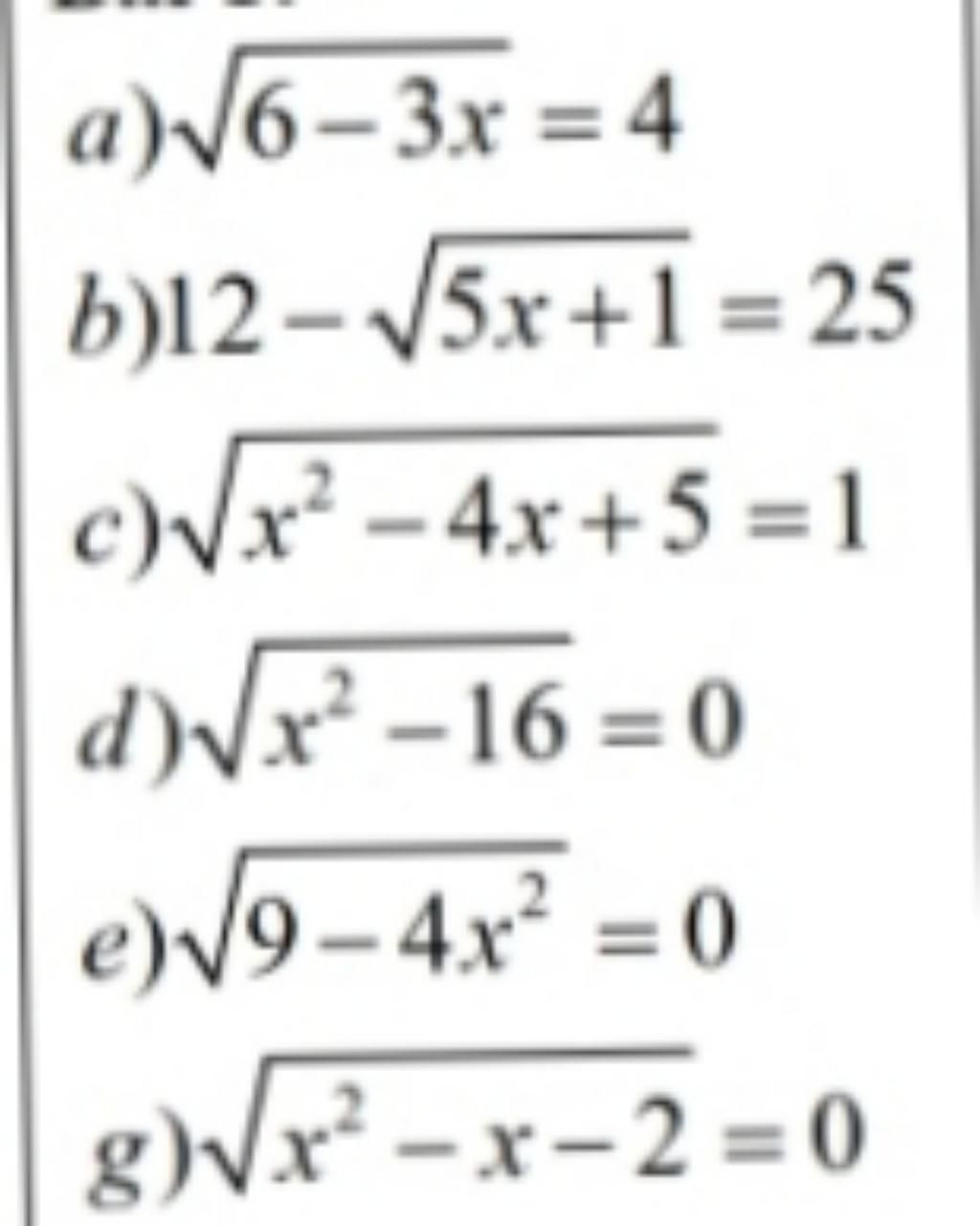
$\sqrt[]{6-3x}$ =4
⇔6-3x=4
⇔x=-$\frac{10}{3}$
12-$\sqrt[]{5x+1}$=25
⇔-$\sqrt[]{5x+1}$=25-12
⇔-$\sqrt[]{5x+1}$=13
⇔5x+1=169
⇔5x=169-1
⇔5x=168
⇔x=$\frac{168}{5}$
$\sqrt[]{x²-4x+5}$=1
⇔x²-4x+5=1
⇔x²-4x+5-1=0
⇔x²-4x+4=0
⇔x²-2(x)(2)+2²=0
⇔(x-2)²=0
⇔x-2=0
⇔x=2
$\sqrt[]{x²-16}$=0
⇔$\sqrt[]{x²-4²}$ =0
⇔$\sqrt[]{(x-4)(x+4)}$ =0
⇔(x+4)(x-4)=0
⇔x=±4
Hãy giúp mọi người biết câu trả lời này thế nào?
Bảng tin