

Hãy luôn nhớ cảm ơn và vote 5*
nếu câu trả lời hữu ích nhé!
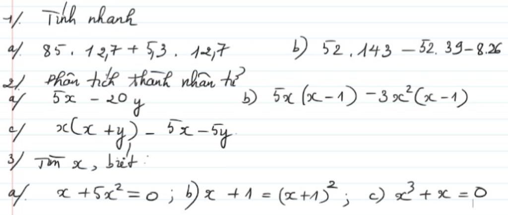
Lời giải:
`1)`
`a)`
`85.12,7+5,3.12,7`
`=12,7.(85+5,3)`
`=12,7.90,3`
`=1146,81`
`b)`
`52.143-52.36-8.26`
`=52.143-52.36-4.52`
`=52.(143-39-4)`
`=52.100`
`=5200`
Bài `2` :
`a)`
`5x-20y`
`=5(x-4y)`
`b)`
`5x(x-1)-3x^(2)(x-1)`
`=(x-1)(5x-3x^2)`
`=x(x-1)(5-3x)`
`c)`
`x(x+y)-5x-5y`
`=x(x+y)-5(x+y)`
`=(x+y)(x-5)`
`3)`
`a)`
`x+5x^2=0`
`⇔x(1+5x)=0`
$⇔\left[\begin{matrix}x=0\\ 1+5x=0\end{matrix}\right.$
$⇔\left[\begin{matrix}x=0\\ x=\dfrac{-1}{5}\end{matrix}\right.$
Vậy `x=0` hoặc `x=-1/5`
`b)`
`x+1=(x+1)^2`
`⇔(x+1)-(x+1)^2=0`
`⇔(x+1)(1-x-1)=0`
`⇔-x(x+1)=0`
$⇔\left[\begin{matrix}-x=0\\ x+1=0\end{matrix}\right.$
$⇔\left[\begin{matrix}x=0\\ x=-1\end{matrix}\right.$
Vậy `x=0` hoặc `x=-1`
`c)`
`x^(3)+x=0`
`⇔x(x^(2)+1)=0`
Vì `x^2≥0`
`⇒x^(2)+1>0`
`⇔x=0`
Vậy `x=0`
Hãy giúp mọi người biết câu trả lời này thế nào?
![]()
Đáp án `+` Giải thích các bước giải `!`
`1.`
`a)`
`85. 12,7+5,3. 12,7`
`= 12,7(85+5,3)`
`= 12,7. 90,3`
`= 1146,81`
`b)`
`52. 143-52. 39-8. 26`
`= 52. 143-52. 39-4. 52`
`= 52(143-39-4)`
`= 52. 100`
`= 5200`
`2.`
`a)`
`5x-20y`
`= 5(x-4y)`
`b)`
`5x(x-1)-3x^2(x-1)`
`= (5x-3x^2)(x-1)`
`= x(5-3x)(x-1)`
`c)`
`x(x+y)-5x-5y`
`= x(x+y)-(5x+5y)`
`= x(x+y)-5(x+y)`
`= (x-5)(x+y)`
`3.`
`a)`
`x+5x^2 = 0`
`<=> x(1+5x) = 0`
`⇔` \(\left[ \begin{array}{l}x=0\\1+5x=0\end{array} \right.\)
`<=>` \(\left[ \begin{array}{l}x=0\\5x=-1\end{array} \right.\)
`<=>` \(\left[ \begin{array}{l}x=0\\x=-\dfrac{1}{5}\end{array} \right.\)
Vậy `S= {0; -(1)/5}`
`b)`
`x+1 = (x+1)^2`
`<=> x+1 = x^2+2x+1`
`<=> x+1-x^2-2x-1 = 0`
`<=> -x^2-x = 0`
`<=> -x(x+1) = 0`
`<=>` \(\left[ \begin{array}{l}x=0\\x+1=0\end{array} \right.\)
`<=>` \(\left[ \begin{array}{l}x=0\\x=-1\end{array} \right.\)
Vậy `S= {0; -1}`
`c)`
`x^3+x = 0`
`<=> x(x^2+1) = 0`
`<=> \(\left[ \begin{array}{l}x=0\\x^2+1=0\end{array} \right.\)
`⇔` \(\left[ \begin{array}{l}x=0\\x^2=-1\end{array} \right.\)
Vì `x^2 >= 0` `AA x`
Mà `x^2 = -1` (vô lý)
`<=> x = 0`
Vậy `S= {0}`
Hãy giúp mọi người biết câu trả lời này thế nào?
Bảng tin