

Hãy luôn nhớ cảm ơn và vote 5*
nếu câu trả lời hữu ích nhé!
Đáp án:
Giải thích các bước giải:
`1`
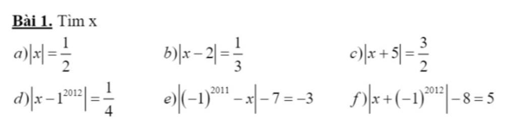
`a) |x| = 1/2`
`⇒` $\left[\begin{matrix} x = \dfrac{1}{2}\\ x = -\dfrac{1}{2}\end{matrix}\right.$
`b) |x - 2| = 1/3`
`⇒` $\left[\begin{matrix} x - 2 = \dfrac{1}{3} ⇒ x = \dfrac{7}{3}\\ x - 2 = -\dfrac{1}{3} ⇒ x = \dfrac{5}{3} \end{matrix}\right.$
`c) |x + 5| = 3/2`
`⇒` $\left[\begin{matrix} x + 5 = \dfrac{3}{2} ⇒ x = -\dfrac{7}{2}\\ x + 5 = -\dfrac{3}{2} ⇒ x = -\dfrac{13}{2}\end{matrix}\right.$
`d) |x - 1^2012| = 1/4`
`⇒ |x - 1| = 1/4`
`⇒` $\left[\begin{matrix} x - 1 = \dfrac{1}{4} ⇒ x = \dfrac{5}{4}\\ x - 1 = -\dfrac{1}{4} ⇒ x = \dfrac{3}{4}\end{matrix}\right.$
`e) |(-1)^2011 - x| - 7 = -3`
`⇒ |(-1) - x| = -3 + 7`
`⇒ |(-1) - x| = 4`
`⇒` \(\left[ \begin{array}{l}(-1) - x = 4 ⇒ x = -5\\(-1) - x = -4 ⇒ x = 3\end{array} \right.\)
`f) |x + (-1)^2012| - 8 = 5`
`⇒ |x + 1| = 5 + 8`
`⇒ |x + 1| = 13`
`⇒` \(\left[ \begin{array}{l}x + 1 = 13 ⇒ x = 2\\x + 1 = -13 ⇒ x = -14\end{array} \right.\)
Hãy giúp mọi người biết câu trả lời này thế nào?

Bảng tin
1
1657
10
Cảm ơn bạn