

Hãy luôn nhớ cảm ơn và vote 5*
nếu câu trả lời hữu ích nhé!
`\color{#ef7e80}{\text{B}} \color{#f28e90}{\text{t}} \color{#f49d9f}{\text{r}} \color{#f5acad}{\text{a}} \color{#f7bbbc}{\text{m}} \color{#f8cacb}{\text{m}} \color{#fad9da}{\text{m}} \color{#fce8e9}{\text{m}}`
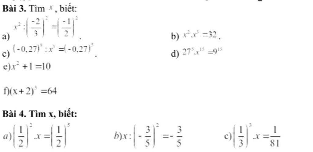
`3.`
`a)` (sửa đề cho giống mấy bài kia ạ)
`x^2:(-2/3)^2=(-2/3)^2`
`x^2=(-2/3)^2.(-2/3)^2`
`x^2=(-2/3)^4`
`x=+-(-2/3)^2`
`b)`
`x^2.x^3=32`
`x^5=32`
`x^5=2^5`
`x=2`
`c)`
`(-0,27)^8:x^3=(-0,27)^5`
`x^3=(-0,27)^8:(-0,27)^5`
`x^3=(-0,27)^3`
`x=-0,27`
`d)`
`27^5.x^15=9^15`
`9^15.x^15=9^15`
`x^15=9^0`
`x^15=1`
`x=1`
`e)`
`x^2+1=10`
`x^2=10-1`
`x^2=9`
`x=+-3`
`f)`
`(x+2)^3=64`
`(x+2)^3=4^3`
`x+2=4`
`x=4-2`
`x=2`
`4.`
`a)`
`(1/2)^2.x=(1/2)^5`
`x=(1/2)^5:(1/2)^2`
`x=(1/2)^3`
`b)`
`x:(-3/5)^2=-3/5`
`x=(-3/5).(-3/5)^2`
`x=(-3/5)^3`
`c)`
`(1/3)^3.x=1/81`
`(1/3)^3.x=(1/3)^4`
`x=(1/3)^4:(1/3)^3`
`x=1/3
Hãy giúp mọi người biết câu trả lời này thế nào?
Bài `3:`
`a)`
`x^2 : ((-2)/3)^2 =((-1)/2)^2`
`x^2 = ((-1)/2)^2 . ((-2)/3)^2`
`x^2=((-1)/2 .((-2)/3)^2`
`x^2 = (1/3)^2`
`x^2=1/9`
`x^2=(+-1/3)^2`
Suy ra `x in {1/3;(-1)/3}`
Vậy `x in {1/3; (-1)/3}`
`b)`
`x^2 . x^3=32`
`x^5 = 2^5`
Suy ra `x=2`
Vậy `x=2`
`c)`
`(-0,27)^8 : x^3 = (-0,27)^5`
`x^3=(-0,27)^8 : (-0,27)^5`
`x^3=(-0,27)^3`
Suy ra `x=-0,27`
Vậy `x=-0,27`
`d)`
`27^5 . x^15 = 9^15`
`3^15 . x^15 = 9^15`
`x^15 = 9^15 : 3^15`
`x^15 = (9:3)^15`
`x^15=3^15`
Suy ra `x=3`
Vậy `x=3`
`e)`
`x^2+1=10`
`x^2=10-1`
`x^2=9`
`x^2=(+-3)^2`
Suy ra `x in {3;-3}`
Vậy `x in {3;-3}`
`f)`
`(x+2)^3=64`
`(x+2)^3=4^3`
Suy ra`:`
`x+2=4`
`x=4-2`
`x=2`
Vậy `x=2`
Bài `4:`
`a)`
`(1/2)^2 . x= (1/2)^5`
`x=(1/2)^5 : (1/2)^2`
`x=(1/2)^3`
`x=1/8`
Vậy `x=1/8`
`b)`
`x:(-3/5)^2= (-3/5)`
`x=(-3/5) . (-3/5)^2`
`x=(-3/5)^3`
`x=(-27)/125`
Vậy `x=(-27)/125`
`c)`
`(1/3)^3 . x= 1/81`
`x=(1/3)^4 : (1/3)^3`
`x=1/3`
Vậy `x=1/3`
Hãy giúp mọi người biết câu trả lời này thế nào?
Bảng tin