

Hãy luôn nhớ cảm ơn và vote 5*
nếu câu trả lời hữu ích nhé!
Giải thích các bước giải:
e) ( 8x - 16 ) ( x - 5 ) = 0
⇒( 8x - 16 )=0 hoặc ( x - 5 ) = 0
⇒8x=16 hoặc x=5
⇒x=16:8 hoặc x=5
⇒x=2 hoặc x=5
Vậy x ∈ {2; 5}
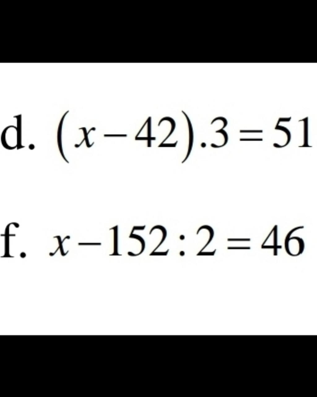
d) (x-42).3 = 51
x-42=51:3
x-42=17
x=17+42
x=59
Vậy x=59
f) x-152:2=46
x-76=46
x=46+76
x=122
Vậy x=122
CHÚC BẠN HỌC TỐT ^^
VOTE TỚ 5* NHA VÀ CTLHN (NẾU CÓ THỂ) NHA <3
Hãy giúp mọi người biết câu trả lời này thế nào?
![]()
Đáp án + Giải thích các bước giải:
`d) (x - 42).3 = 51`
`=> x - 42 = 51 : 3`
`=> x - 42 = 17`
`=> x = 17 + 42`
`=> x = 59`
------------------------------
`f) x - 152 : 2 = 46`
`=> x - 76 = 46`
`=> x = 46 + 76`
`=> x = 122`
------------------------------
`e) (8x - 16).(x - 5)=0`
Ta có hai trường hợp:
$TH_{1}$
`8x - 16 = 0`
`=> 8x = 16`
`=> x = 16 : 8`
`=> x = 2`
$TH_{2}$
`x - 5 =0`
`=> x = 5`
Học Tốt UwU<3
$\text{#SunHee}$
Hãy giúp mọi người biết câu trả lời này thế nào?
B1: Bôi đen cái dòng cần thiết B2: Nhấp chuột phải B3: Nhấn "Show math as" + "TeX commands" thì phải thêm $ "AsciiMath Input" thì phải thêm `
Nếu khum thì nó sẽ dễ bị lỗi
Ồ O-O
Thì ra là z O_O
$\color{lightblue}{\text{Baiii Nghi nhaa. Tui đi ăn sáng đêy}}$
jz tr
Bh mới ăn sáng là ko ổn rồi =.=
Thui My ăn ii. Ăn ngon miệng :3
Bảng tin