

Hãy luôn nhớ cảm ơn và vote 5*
nếu câu trả lời hữu ích nhé!
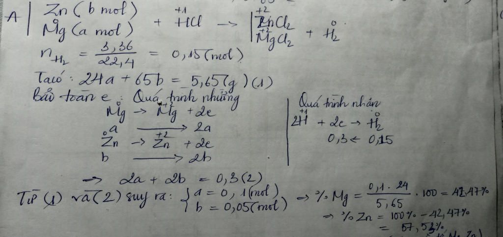
Đáp án:
a)
`%m_{Mg}=\frac{0,1.24}{5,65}\cdot 100=\frac{4800}{113}%\approx 42,48%`
`%m_{Zn}=\frac{0,05.65}{5,65}\cdot 100=\frac{6500}{113}%\approx 57,52%`
b) $m_{\text{muối}}=16,3\left( g \right)$
Giải thích các bước giải:
a)
$Mg+2HCl\to MgC{{l}_{2}}+{{H}_{2}}$
$a\,\,\,\,\,\,\,\,\,\,\,\,2a\,\,\,\,\,\,\,\,\,\,\,\,\,\,\,a\,\,\,\,\,\,\,\,\,\,\,\,\,\,a$
$Zn+2HCl\to ZnC{{l}_{2}}+{{H}_{2}}$
$b\,\,\,\,\,\,\,\,\,\,2b\,\,\,\,\,\,\,\,\,\,\,\,\,\,\,b\,\,\,\,\,\,\,\,\,\,\,\,\,\,b$
Đặt số $mol$ $Mg$ là $a$, $Zn$ là $b$
Khối lượng hỗn hợp là $5,65\left( g \right)$
$\Rightarrow 24a+65b=5,65\,\,\,\left( 1 \right)$
${{n}_{{{H}_{2}}}}=\dfrac{3,36}{22,4}=0,15\left( mol \right)$
$\Rightarrow a+b=0,15\,\,\,\left( 2 \right)$
Từ $\left( 1 \right)$ và $\left( 2 \right)$ $\Rightarrow\begin{cases}a=0,1\left(mol\right)\\b=0,05\left(mol\right)\end{cases}$
Vậy:
`%m_{Mg}=\frac{0,1.24}{5,65}\cdot 100=\frac{4800}{113}%\approx 42,48%`
`%m_{Zn}=\frac{0,05.65}{5,65}\cdot 100=\frac{6500}{113}%\approx 57,52%`
b)
$m_{muối}={m_{MgC{{l}_{2}}}}+{{m}_{ZnC{{l}_{2}}}}=0,1.95+0,05.136=16,3\left( g \right)$
Hãy giúp mọi người biết câu trả lời này thế nào?
Bảng tin