

Hãy luôn nhớ cảm ơn và vote 5*
nếu câu trả lời hữu ích nhé!
Đáp án+Giải thích các bước giải:
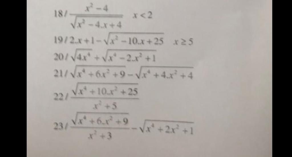
18,
`frac{x^2-4}{\sqrt{x^2-4x+4}}(x<2)`
`=\frac{(x-2)(x+2)}{\sqrt{x^2-2.x.2+2^2}}`
`=\frac{(x-2)(x+2)}{\sqrt{(x-2)^2}}`
`=\frac{(x-2)(x+2)}{|x-2|}`
`=\frac{(x-2)(x+2)}{-(x-2)}`
`=-(x+2)`
`=-x-2`
22,
`\frac{\sqrt{x^4+10.x^2+25}}{x^2+5}`
`=\frac{\sqrt{x^4+2.x^2 .5+5^2}}{x^2+5}`
`=\frac{\sqrt{(x^2+5)^2}}{x^2+5}`
`=\frac{|x^2+5|}{x^2+5}`
`=\frac{x^2+5}{x^2+5}`
`=1`
23,
`\frac{\sqrt{x^4+6.x^2+9}}{x^2+3}-\sqrt{x^4+2x^2+1}`
`=\frac{\sqrt{x^4+2.x^2 .3+3^2}}{x^2+3}-\sqrt{x^4+2.x^2 .1+1^2}`
`=\frac{\sqrt{(x^2+3)^2}}{x^2+3}-\sqrt{(x^2+1)^2}`
`=\frac{|x^2+3|}{x^2+3}-|x^2+1|`
`=\frac{x^2+3}{x^2+3}-(x^2+1)`
`=1-x^2-1`
`=-x^2`
Hãy giúp mọi người biết câu trả lời này thế nào?
![]()
Bảng tin