Đăng nhập để hỏi chi tiết


Hãy luôn nhớ cảm ơn và vote 5*
nếu câu trả lời hữu ích nhé!
Đáp án:
Giải thích các bước giải:
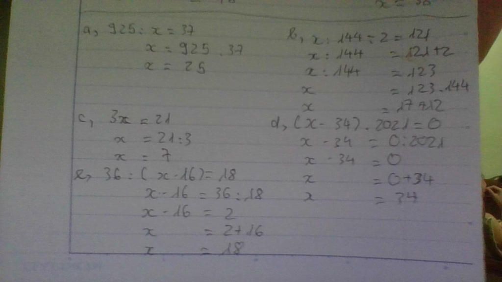
a 925 : x = 37
x=925:37
x=25
bx : 144 - 2 = 121
x:144=121+2
x:144=123
x=123x144
x=17712
c . 3x = 21
x=21:7
x=3
d . ( x - 34 ) . 2021 = 0
x-34=0
x=0+34
x=34
e . 36 : ( x - 16 ) = 18
x-16=36:18
x-16=2
x=2+16
x=18
xin ctlhn ạ
Hãy giúp mọi người biết câu trả lời này thế nào?
Bảng tin
1780
34770
2311
Mé Cày ghê thế
1073
8745
1335
dạ e ms khởi động thôi ạ
1780
34770
2311
dạ e ms khởi động thôi ạ `=>` PRO
1073
8745
1335
xạo á