

Hãy luôn nhớ cảm ơn và vote 5*
nếu câu trả lời hữu ích nhé!
Đây là câu trả lời đã được xác thực
Câu trả lời được xác thực chứa thông tin chính xác và đáng tin cậy, được xác nhận hoặc trả lời bởi các chuyên gia, giáo viên hàng đầu của chúng tôi.
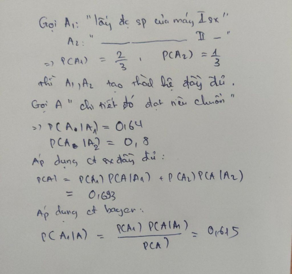
Gọi $A$:"Lấy được sản phẩm của máy $I$"
$B$:"Lấy được sản phẩm của máy $II$"
$A,B$ là hai biến cố đầy đủ
Vì năng suất máy $I$ gấp đôi máy $II$ nên:
$P(A)=\dfrac{2}{3}$
$P(B)=\dfrac{1}{3}$
Gọi $C$:"Lấy được chi tiết đạt tiêu chuẩn", ta có:
$P(C/A)=0,64$
$P(C/B)=0,8$
$⇒ P(C)=P(A).P(C/A)+P(B).P(C/B)=\dfrac{52}{75}$
Xác suất để chi tiết đó do máy $I$ sản xuất là:
$P(A/C)=\dfrac{P(C/A).P(A)}{P(C)}$
$=\dfrac{0,64.\dfrac{2}{3}}{\dfrac{52}{75}}$
$=\dfrac{8}{13}$
--------------------------------
CORRECT- Đúng không cần check!
Hãy giúp mọi người biết câu trả lời này thế nào?
Bảng tin