

Hãy luôn nhớ cảm ơn và vote 5*
nếu câu trả lời hữu ích nhé!

Đây là câu trả lời đã được xác thực
Câu trả lời được xác thực chứa thông tin chính xác và đáng tin cậy, được xác nhận hoặc trả lời bởi các chuyên gia, giáo viên hàng đầu của chúng tôi.
Đáp án:
Hãy giúp mọi người biết câu trả lời này thế nào?

Đây là câu trả lời đã được xác thực
Câu trả lời được xác thực chứa thông tin chính xác và đáng tin cậy, được xác nhận hoặc trả lời bởi các chuyên gia, giáo viên hàng đầu của chúng tôi.
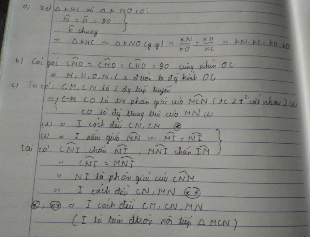
a) Do $H$ là trung điểm của dây cung $AB\Rightarrow OH\bot AB$
Xét $\Delta KON$ và $\Delta KCH$ có:
$\widehat{OKN}=\widehat{CKH}$ (cùng là 1 góc)
$\widehat{KNO}=\widehat{KHC}=90^o$
$\Rightarrow \Delta KON\sim\Delta KCH$ (g.g)
$\Rightarrow\dfrac{KN}{KH}=\dfrac{KO}{KC}$
$\Rightarrow KN.KC=KH.KO$
b) Tứ giác $OHMC$ có $\widehat{OHC}$ và $\widehat{OMC}$ cùng nhìn $OC$ dưới 1 góc bằng $90^o$ nên $OHMC$ nội tiếp đường tròn đường kính $(OC)$
Tứ giác $OMCN$ có $\widehat{OMC}+\widehat{ONC}=90^o+90^o$
$\Rightarrow OMCN$ nội tiếp đường tròn đường kính $(OC)$
Vậy $O,H,C,M,N$ nội tiếp đường tròn đường kính $(OC)$
c) $\widehat{MCO}=\widehat{NCO}$ (do $CM, CN$ là hai tiếp tuyến của $(O)$, tính chất hai tiếp tuyến cắt nhau)
$\Rightarrow CO$ là phân giác $\widehat{MCN}$ (1)
Ta có $CM=CN$ (do $CM, CN$ là hai tiếp tuyến cắt nhau của $(O)$)
$OM=ON$
$\Rightarrow OC$ là đường trung trực của $MN$
$I\in OC\Rightarrow IM=IN\Rightarrow\widehat{MNI}=\widehat{INC}$ (góc nội tiếp và góc tạo bởi tiếp tuyến và dây cung cùng chắn hai cùng bằng nhau $IM=IN$)
$\Rightarrow NI$ là phân giác $\widehat{MNC}$ (2)
Từ (1) và (2) tâm đường tròn nội tiếp của $\Delta CMN$ là $CO\cap NI=I$
$\Rightarrow I$ cách đều 3 cạnh của $\Delta CMN$
Hãy giúp mọi người biết câu trả lời này thế nào?
Bảng tin