Đăng nhập để hỏi chi tiết


Hãy luôn nhớ cảm ơn và vote 5*
nếu câu trả lời hữu ích nhé!

Đáp án:
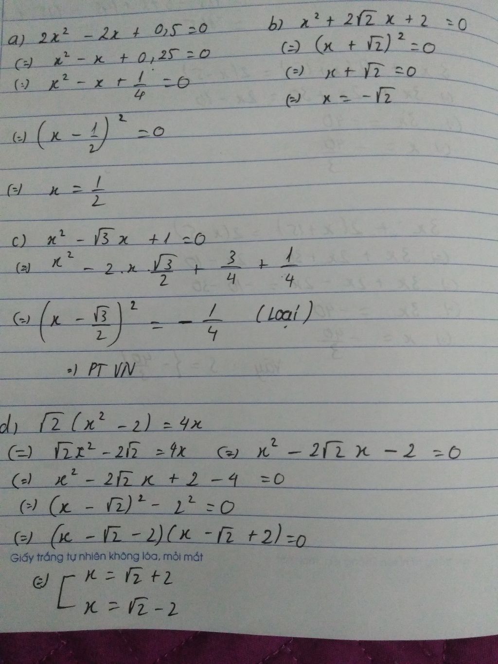
a) 2x² -2x+0,5=0
=> x=0,5
Vậy S={0,5}
b) x²+ 2√2x+2=0
=> x=-√2
Vậy S={-√2}
c) x²- √3x+1=0 (vô lí)
Vậy phương trình trên vô nghiệm
d) √2.(x²-2)=4x
=> x²-2=$\frac{4}{√2}$x
=> x²-2=2x√2
=> x²-2x√2+2=0
=> x=√2
Vậy S={√2}
Bạn tham khảo nha, nếu có gì sai sót hoặc không hiểu thì bọn mình trao đổi thêm nhé.
Hãy giúp mọi người biết câu trả lời này thế nào?
Đáp án: CHÚC BẠN HỌC TỐT!!!
Giải thích các bước giải:
Hãy giúp mọi người biết câu trả lời này thế nào?
Bảng tin
0
0
0
Bạn có thể giải thẳng ra cho mình câu a,b,c ko