Vui lòng chỉ chọn một câu hỏi
Hoidap247.com Nhanh chóng, chính xác
+
Danh mục mới
0
891
Hãy luôn nhớ cảm ơn và vote 5* nếu câu trả lời hữu ích nhé!
2977
75959
2766
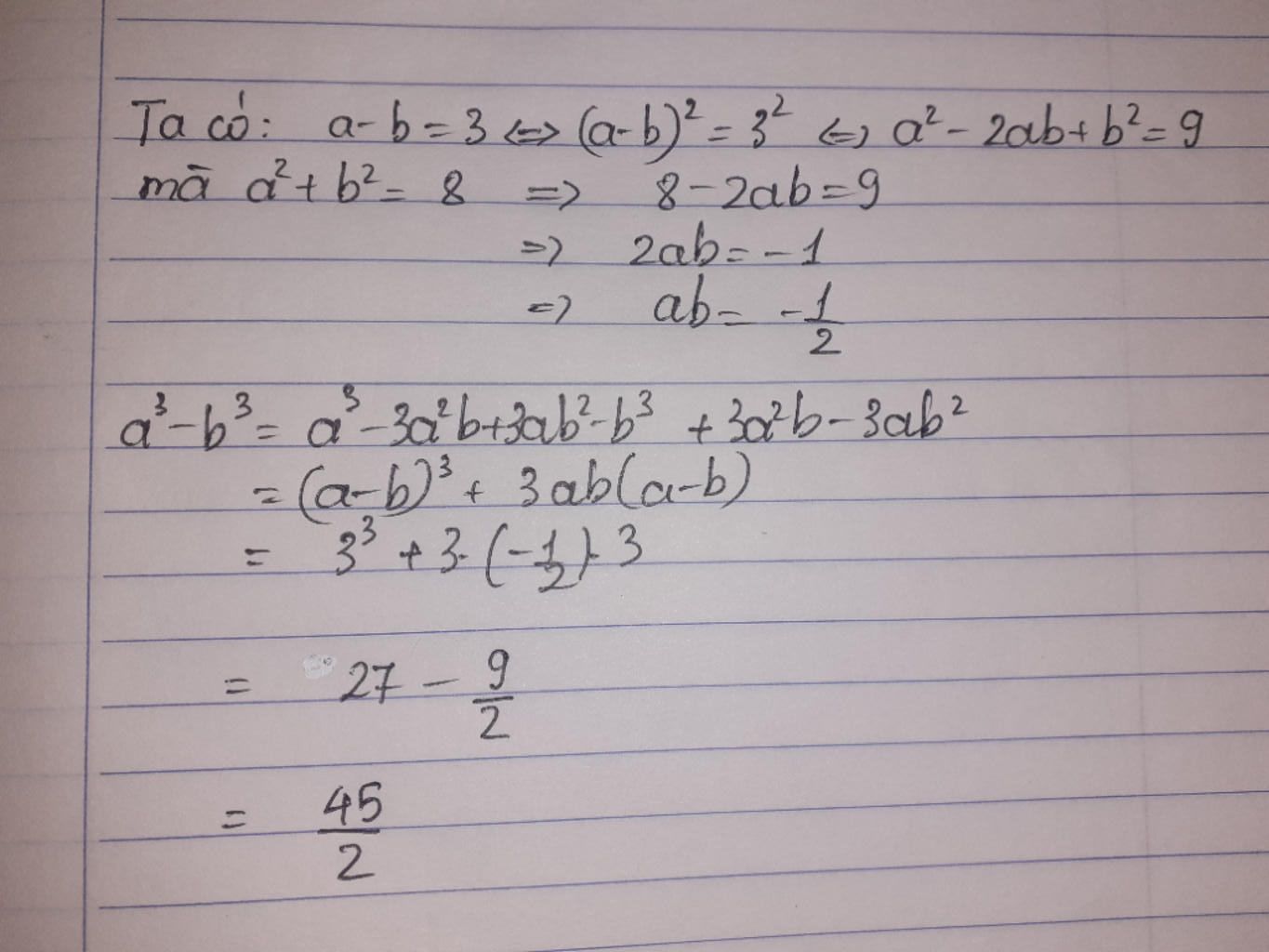
Đáp án+Giải thích các bước giải:
Hãy giúp mọi người biết câu trả lời này thế nào?
cẻm ơn bạn nha <3
Bảng tin
Gửi yêu cầu Hủy
0
891
0
cẻm ơn bạn nha <3