Đăng nhập để hỏi chi tiết


Hãy luôn nhớ cảm ơn và vote 5*
nếu câu trả lời hữu ích nhé!

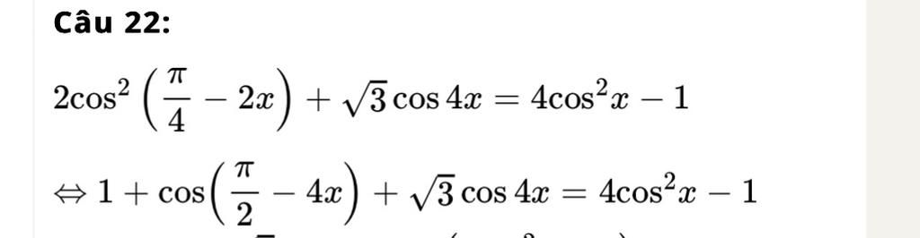
Từ công thức nhân đôi:
$\cos2a=\cos^2a-\sin^2a$
Ta rút ra công thức hạ bậc:
$\cos^2a=\dfrac{1+\cos2a}{2}$
Do đó $2\cos^2\left(\dfrac{\pi}{4}-2x\right)=2.\dfrac{1+\cos\left(\dfrac{\pi}{2}-4x\right) }{2}=1+\cos\left(\dfrac{\pi}{2}-4x\right)$
Hãy giúp mọi người biết câu trả lời này thế nào?
Bảng tin