

Hãy luôn nhớ cảm ơn và vote 5*
nếu câu trả lời hữu ích nhé!

Đáp án + Giải thích các bước giải:
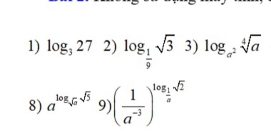
`1.`
`log_(3)27=log_(3)3^3=3`
`2.`
`log_(1/9)sqrt3=log_(1/3^2) 3^(1/2)=log_(3^-2)3^(1/2)=(1/2)/(-2)log_(3)3=-1/4`
`3.`
`log_(a^2)root{4}{a}=log_(a^2)a^(1/4)=(1/4)/2log_(a)a=1/8` `(a>1)`
`8.`
`a^(log_sqrtasqrt5)=a^(log_(a^(1/2))5^(1/2))=a^((1/2)/(1/2)loga^5)=a^(log_a5)=5` `(a>1)`
`9.`
`(1/(a^-3))^(log_(1/a)sqrt2)` `(a>1)`
`=a^(3log_(a^-1)2^(1/2))`
`=a^(-3/2log_a2)`
`=a^(log_a2^(-3/2))`
`=2^(-3/2)`
`=-sqrt(2^3)`
`=1/sqrt8`
`=sqrt2/4`
Hãy giúp mọi người biết câu trả lời này thế nào?
Bảng tin