

Hãy luôn nhớ cảm ơn và vote 5*
nếu câu trả lời hữu ích nhé!
Đáp án+Giải thích các bước giải:
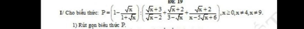
`P=(1-\frac{\sqrt{x}}{1+\sqrt{x}}) :(\frac{\sqrt{x}+3}{\sqrt{x}-2}+\frac{\sqrt{x}+2]{3-\sqrt{x}}+\frac{\sqrt{x}+2}{x-5\sqrt{x}+6})(x>=0,x\ne4,x\ne9)`
`=(\frac{1+\sqrt{x}-\sqrt{x}}{1+\sqrt{x}}):(\frac{(\sqrt{x}+3)(\sqrt{x}-3)}{(\sqrt{x}-2)(\sqrt{x}-3)}-\frac{(\sqrt{x}-2)(\sqrt{x}+2)}{(\sqrt{x}+3)(\sqrt{x}-3)}+\frac{\sqrt{x}+2}{(\sqrt{x}-3)(\sqrt{x}-2)})`
`=\frac{1}{1+\sqrt{x}}:(\frac{x-9-x+4+\sqrt{x}+2}{(\sqrt{x}-3)(\sqrt{x}-2)})`
`=\frac{1}{1+\sqrt{x}}.\frac{(\sqrt{x}-3)(\sqrt{x}-2)}{-3+\sqrt{x}}`
`=\frac{(\sqrt{x}-3)(\sqrt{x}-2)}{(1+\sqrt{x})(\sqrt{x}-3)}`
`=\frac{\sqrt{x}-2}{1+\sqrt{x}}`
Hãy giúp mọi người biết câu trả lời này thế nào?
![]()
Đáp án+Giải thích các bước giải:
`P=(1-\frac{\sqrt{x}}{1+\sqrt{x}}):(\frac{\sqrt{x}+3}{\sqrt{x}-2}+\frac{\sqrt{x}+2}{3-\sqrt{x}}+\frac{\sqrt{x}+2}{x-5\sqrt{x}+6})(x≥0;x\ne4;x\ne9)`
`P=(\frac{1+\sqrt{x}-\sqrt{x}}{1+\sqrt{x}}):(\frac{\sqrt{x}+3}{\sqrt{x}-2}-\frac{\sqrt{x}+2}{\sqrt{x}-3}+\frac{\sqrt{x}+2}{(\sqrt{x}-3)(\sqrt{x}-2)})`
`P=\frac{1}{\sqrt{x}+1}:(\frac{(\sqrt{x}+3)(\sqrt{x}-3)-(\sqrt{x}+2)(\sqrt{x}-2)+\sqrt{x}+2}{(\sqrt{x}-3)(\sqrt{x}-2)})`
`P=\frac{1}{\sqrt{x}+1}:(\frac{x-9-x+4+\sqrt{x}+2}{(\sqrt{x}-3)(\sqrt{x}-2)})`
`P=\frac{1}{\sqrt{x}+1}:\frac{\sqrt{x}-3}{(\sqrt{x}-3)(\sqrt{x}-2)}`
`P=\frac{1}{\sqrt{x}+1}:\frac{1}{\sqrt{x}-2}`
`P=\frac{1}{\sqrt{x}+1}.\frac{sqrt{x}-2}{1}`
`P=\frac{\sqrt{x}-2}{\sqrt{x}+1}`
Hãy giúp mọi người biết câu trả lời này thế nào?
Bảng tin
2007
38835
2020
Cái mớ lùm xùm gì chỗ kia vậy 🤣🤣🤣
3293
264
3577
Sửa rồi đấy thiếu ngoặc lỗi lệnh
2007
38835
2020
Ùm
3293
264
3577
Lm đi
2007
38835
2020
Thôi bạn lm r lm j nx