

Hãy luôn nhớ cảm ơn và vote 5*
nếu câu trả lời hữu ích nhé!

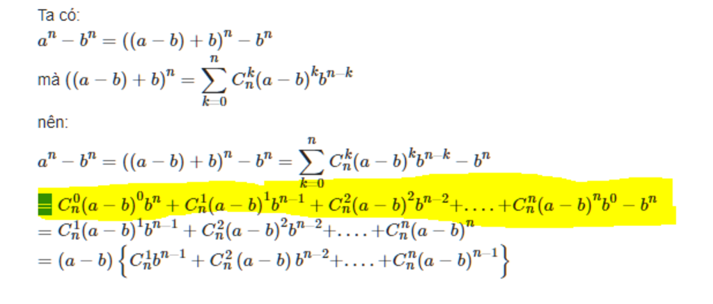
Sau dòng $\sum$, người ta tiến hành khai triển tổng $\sum$ thành:
$C_n^0(a-b)^0b^n+C_n^1(a-b)^1b^{n-1}+...+C_n^n(a-b)^nb^0$
Còn lại số $-b^n$ để ở sau cùng vì không liên quan.
Hãy giúp mọi người biết câu trả lời này thế nào?
Bảng tin
2508
665
1828
Chẳng hiểu làm trên này để làm j =='