

Hãy luôn nhớ cảm ơn và vote 5*
nếu câu trả lời hữu ích nhé!

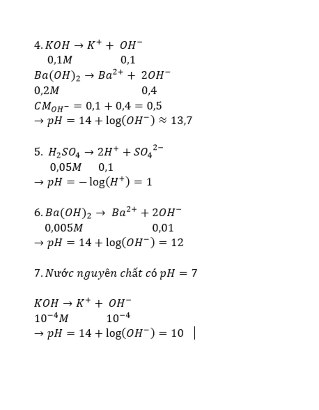
`4)`
`KOH → K^{+} + OH^{-}
`0,1 → 0,1 → 0,1(M)`
`Ba(OH)_2 → Ba^{2+} + 2OH^{-}`
`0,2 → 0,2 → 0,4(M)`
`[OH^{-}] = 0,4 + 0,1 = 0,5(M)`
`→ [H^{+}] = {10^{-14}}/{0,5} = 2. 10^{-14}`
`pH = -log(2.10^{-14}) = 13,7`
`5)`
`H_2SO_4 → 2H^{+} +SO_4^{2-}`
`0,05 →0,1(M)`
`pH= -log(0,1)= 1`
`6)`
`Ba → Ba^{2+} + 2OH^{-}`
`0,005→ 0,005 → 0,01(M)`
`[OH^{-}] = 0,01(M)`
`→ [H^{+}] = {10^{-14}}/{0,01} = 10^{-12}`
`pH = -log(10^{-12}) = 12`
`c)`
Nước nguyên chất có `pH = 7`
`d)`
`KOH → K^{+} + OH^{-}`
`10^{-4} → 10^{-4} → 10^{-4}(M)`
`[OH^{-}] = 10^{-4}(M)`
`→ [H^{+}] = {10^{-14}}/{10^{-4}} = 10^{-10}`
`pH = -log(10^{-10}) = 10`
Hãy giúp mọi người biết câu trả lời này thế nào?
Bảng tin