Vui lòng chỉ chọn một câu hỏi
Hoidap247.com Nhanh chóng, chính xác
+
Danh mục mới
6
-98
1
Hãy luôn nhớ cảm ơn và vote 5* nếu câu trả lời hữu ích nhé!
954
4744
3248
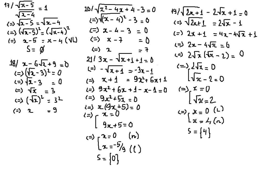
Mk trình bày trong hình :
Hãy giúp mọi người biết câu trả lời này thế nào?
Xem thêm:
Bảng tin
Gửi yêu cầu Hủy