Vui lòng chỉ chọn một câu hỏi
Hoidap247.com Nhanh chóng, chính xác
+
Danh mục mới
5
210
2
Hãy luôn nhớ cảm ơn và vote 5* nếu câu trả lời hữu ích nhé!
912
Giải thích các bước giải:
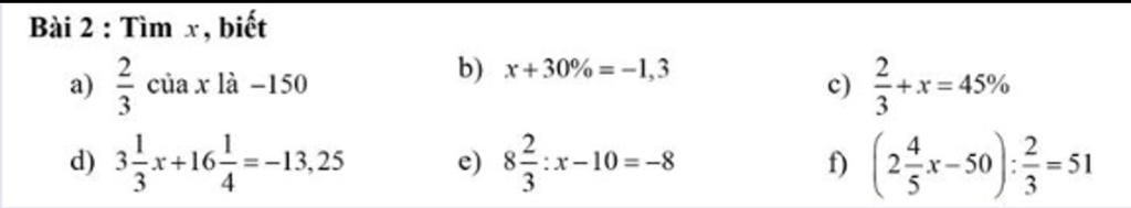
Bài 2:
a, Số x cần tìm là:
-150 : 2/3= -225
Vậy.....
b, x+30%=-1,3
x+3/10=-13/10
x =-13/10-3/10
x =-13/10+(-3/10)
x = -8/5
c,2/3+x=45%
2/3+x=9/20
x=9/20-2/3
x=9/20+(-2/3)
x=-13/60
Hãy giúp mọi người biết câu trả lời này thế nào?
xong chua
1277
4475
1253
Xin hãy nhất!
Bảng tin
Gửi yêu cầu Hủy
5
210
2
xong chua