

Hãy luôn nhớ cảm ơn và vote 5*
nếu câu trả lời hữu ích nhé!
Đáp án + Giải thích các bước giải:
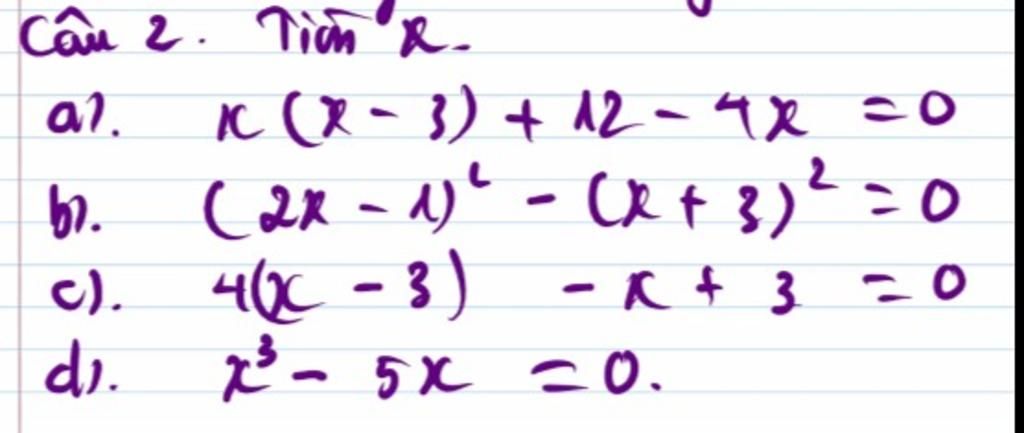
`a)`
`x(x-3)+12-4x=0`
`<=>x(x-3)-4(x-3)=0`
`<=>(x-3)(x-4)=0`
`<=>` \(\left[ \begin{array}{l}x-3=0\\x-4=0\end{array} \right.\)
`<=>` \(\left[ \begin{array}{l}x=3\\x=4\end{array} \right.\)
Vậy `S={3;4}`
`b)`
`(2x-1)^{2}-(x+3)^{2}=0`
`<=>(2x-1-x-3)(2x-1+x+3)=0`
`<=>(x-4)(3x+2)=0`
`<=>` \(\left[ \begin{array}{l}x-4=0\\3x+2=0\end{array} \right.\)
`<=>` \(\left[ \begin{array}{l}x=4\\x=-\dfrac{2}{3}\end{array} \right.\)
Vậy `S={4;-(2)/(3)}`
`c)`
`4(x-3)-x+3=0`
`<=>4x-12-x+3=0`
`<=>3x-9=0`
`<=>3x=9`
`<=>x=3`
Vậy `S={3}`
`d)`
`x^{3}-5x=0`
`<=>x(x^{2}-5)=0`
`<=>` \(\left[ \begin{array}{l}x=0\\x^{2}-5=0\end{array} \right.\)
`<=>` \(\left[ \begin{array}{l}x=0\\x=±\ \sqrt{5}\end{array} \right.\)
Vậy `S={0;+-\sqrt{5}}`
Hãy giúp mọi người biết câu trả lời này thế nào?

Đáp án:
Phía dưới
Giải thích các bước giải:
Câu 2:
`a) x(x-3)+12-4x=0`
`⇔x(x-3)-4(x-3)=0`
`⇔(x-4)(x-3)=0`
`⇔`\(\left[ \begin{array}{l}x-4=0\\x-3=0\end{array} \right.\)
`⇔`\(\left[ \begin{array}{l}x=4\\x=3\end{array} \right.\)
Vậy `x=4` hoặc `x=3`
`b)(2x-1)^2-(x+3)^2=0`
`⇔(2x-1-x-3)(2x-1+x+3)=0`
`⇔(x-4)(3x+2)=0`
`⇔`\(\left[ \begin{array}{l}x-4=0\\3x+2=0\end{array} \right.\)
`⇔`\(\left[ \begin{array}{l}x=4\\x=-\dfrac{2}{3}\end{array} \right.\)
Vậy `x=4` hoặc `x=-2/3`
`c)4(x-3)-x+3 =0`
`⇔4(x-3)-(x-3)=0`
`⇔(4-1)(x-3)=0`
`⇔3(x-3)=0`
`⇔x-3=0 (`Vì`3>0)`
`⇔x=3`
Vậy` x=3`
`d)x^3-5x=0`
`⇔x(x^2-5)=0`
`⇔x(x-\sqrt{5})(x+\sqrt{5})=0 `
`⇔`\(\left[ \begin{array}{l}x=0\\x-\sqrt{5}=0\\x+\sqrt{5}=0 \end{array} \right.\)
`⇔`\(\left[ \begin{array}{l}x=0\\ x=\sqrt{5} \\x=-\sqrt{5}\end{array} \right.\)
Vậy `x=0` hoặc `x=\sqrt{5}` hoặc `x=-\sqrt{5}`
Hãy giúp mọi người biết câu trả lời này thế nào?
Bảng tin