Vui lòng chỉ chọn một câu hỏi
Hoidap247.com Nhanh chóng, chính xác
+
Danh mục mới
28
966
29
Hãy luôn nhớ cảm ơn và vote 5* nếu câu trả lời hữu ích nhé!
209
3217
271
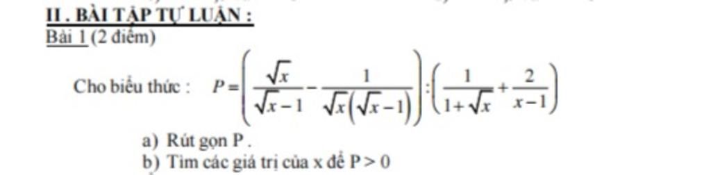
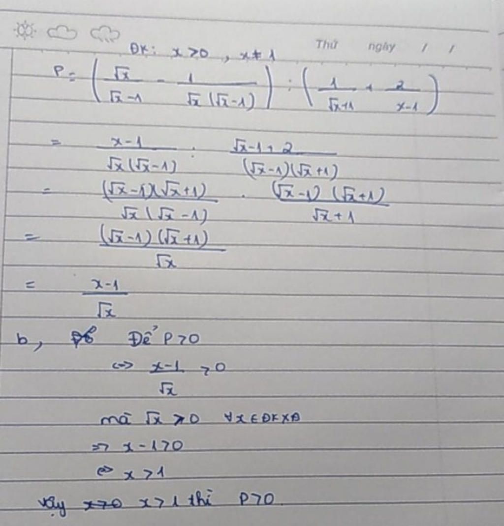
Đáp án:
Giải thích các bước giải:
Hãy giúp mọi người biết câu trả lời này thế nào?
bạn ơi
giúp mình câu này vs https://hoidap247.com/cau-hoi/2261277
Xem thêm:
67
1630
30
Bảng tin
Gửi yêu cầu Hủy
28
966
29
bạn ơi
28
966
29
giúp mình câu này vs https://hoidap247.com/cau-hoi/2261277