

Hãy luôn nhớ cảm ơn và vote 5*
nếu câu trả lời hữu ích nhé!

Đây là câu trả lời đã được xác thực
Câu trả lời được xác thực chứa thông tin chính xác và đáng tin cậy, được xác nhận hoặc trả lời bởi các chuyên gia, giáo viên hàng đầu của chúng tôi.
Đáp án:
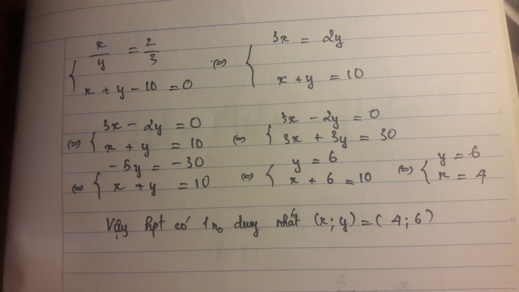
x=4, y=6
Giải thích các bước giải:
x/y=2/3 ==> x=2y/3 thay vào pt thứ hai ta được: 2y/3+y-10=0 <=> y=6 ==> x=(2.6)/3=4
Hãy giúp mọi người biết câu trả lời này thế nào?
Giúp em vs ạ
chỗ nào bạn?
ta có x/y = 2/3 => bạn nhân tích chéo lên sẽ là 3x = 2y đó bạn
x + y - 10 = 0 => chuyển 10 sang bên phải thì phải chuyển dấu từ -10 sang là 10 đó khi chuyển -10 sang thì bên trái không còn -10 nữa => x + y = 10
Sau ra đc 3x+3y=30 vậy ạk
Cho mình hỏi chỗ nhân chéo đó là thế nào vậy .tại sao mình lại phải đem nhân chéo nó
nhân cả biểu thức với 3 cả 2 vế sẽ ra 3x + 3y = 30
đem nhân chéo để x và y không ở dạng phân thức :)
Bảng tin