

Hãy luôn nhớ cảm ơn và vote 5*
nếu câu trả lời hữu ích nhé!

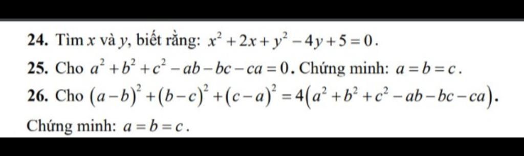
Đáp án:
$\displaystyle 24.x=-1\ và\ y=2$
Giải thích các bước giải:
$\displaystyle \begin{array}{{>{\displaystyle}l}} 24.\ x^{2} +2x+y^{2} -4y+5=0\\ \Leftrightarrow x^{2} +2x+1+y^{2} -4y+4=0\\ \Leftrightarrow ( x+1)^{2} +( y-2)^{2} =0( *)\\ Ta\ có:\ ( x+1)^{2} \geqslant 0\forall x;( y-2)^{2} \geqslant 0\forall y\\ \Rightarrow pt( *) \Leftrightarrow ( x+1)^{2} =( y-2)^{2} =0\\ \Leftrightarrow x=-1\ và\ y=2\\ 25.\ a^{2} +b^{2} +c^{2} -ab-bc-ca=0\\ \Leftrightarrow 2.\left( a^{2} +b^{2} +c^{2} -ab-bc-ca\right) =2.0=0\\ \Leftrightarrow a^{2} -2ab+b^{2} +b^{2} -2bc+c^{2} +a^{2} -2ac+c^{2} =0\\ \Leftrightarrow ( a-b)^{2} +( b-c)^{2} +( a-c)^{2} =0\\ Vì\ ( a-b)^{2} \geqslant 0;( b-c)^{2} \geqslant 0\ và\ ( a-c)^{2} \geqslant 0\ \forall a,b,c\\ \Leftrightarrow ( a-b)^{2} =( b-c)^{2} =( c-a)^{2} =0\\ \Leftrightarrow a-b=b-c=c-a=0\\ \Leftrightarrow a=b=c\Rightarrow đpcm\\ 26.\ ( a-b)^{2} +( b-c)^{2} +( c-a)^{2} =4\left( a^{2} +b^{2} +c^{2} -ab-bc-ca\right)\\ \Leftrightarrow \frac{( a-b)^{2} +( b-c)^{2} +( c-a)^{2}}{2} =2\left( a^{2} +b^{2} +c^{2} -ab-bc-ca\right)\\ \Leftrightarrow \frac{( a-b)^{2} +( b-c)^{2} +( c-a)^{2}}{2} -\left(( a-b)^{2} +( b-c)^{2} +( a-c)^{2}\right) =0( bài\ 25)\\ \Leftrightarrow \frac{-1}{2}\left(( a-b)^{2} +( b-c)^{2} +( a-c)^{2}\right) =0\\ \Leftrightarrow ( a-b)^{2} +( b-c)^{2} +( a-c)^{2} =0\\ Tương\ tự\ bài\ 25\ \Rightarrow a=b=c\Rightarrow đpcm \end{array}$
Hãy giúp mọi người biết câu trả lời này thế nào?

Bảng tin