Vui lòng chỉ chọn một câu hỏi
Hoidap247.com Nhanh chóng, chính xác
+
Danh mục mới
0
Hãy luôn nhớ cảm ơn và vote 5* nếu câu trả lời hữu ích nhé!
31
1265
22
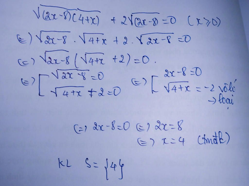
Đáp án và giải thích các bước giải:
`~kam~`
Hãy giúp mọi người biết câu trả lời này thế nào?
Xem thêm:
3700
75205
3429
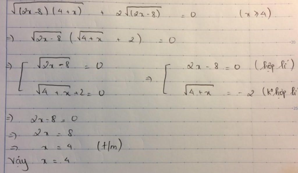
Đáp án + giải thích :
↓↓↓
Bảng tin
Gửi yêu cầu Hủy