

Hãy luôn nhớ cảm ơn và vote 5*
nếu câu trả lời hữu ích nhé!

Đáp án:
a. P = $\frac{2×(x-1)}{x-2}$
b. x = { 1; 3 }
Giải thích các bước giải:
a. Để ngắn gọn thì mình rút gọn từng chút một nhé
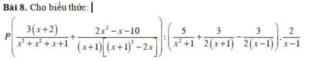
+ Biểu thức trong ngoặc đầu A = $\frac{3×(x+2)}{x³+x²+x+1}$ + $\frac{2x²-x-10}{(x+1)×((x+1)²-2x)}$
A= $\frac{3×(x+2)}{x³+x²+x+1}$ + $\frac{2x²-x-10}{(x+1)×(x²+1)}$
A = $\frac{3×(x+2)}{x³+x²+x+1}$ + $\frac{2x²-x-10}{x³+x²+x+1}$
A = $\frac{2x²+2x-4}{x³+x²+x+1}$
A = $\frac{2(x+2)(x-1)}{(x+1)(x²+1)}$
+ Biểu thức trong ngoặc thứ 2
B = $\frac{5}{x²+1}$ + $\frac{3}{2(x+1)}$ - $\frac{3}{2(x-1)}$
B = $\frac{5}{x²+1}$ + $\frac{3(x-1)}{2(x²-1)}$ - $\frac{3(x+1)}{2(x²-1)}$
B = $\frac{5}{x²+1}$ + $\frac{-6}{2(x²-1)}$
B = $\frac{10(x²-1)}{2(x^{4}-1}$ + $\frac{-6(x²+1)}{2(x^{4}-1)}$
B = $\frac{4x²-16}{2(x^{4}-1}$
B = $\frac{2(x-2)(x+2)}{(x²+1)(x²-1)}$
P = A : B × $\frac{2}{x-1}$
P = $\frac{2(x+2)(x-1)}{(x+1)(x²+1)}$ × $\frac{(x²-1)(x²+1)}{2(x+2)(x-2)}$ × $\frac{2}{x-1}$
P = $\frac{2(x-1)}{x-2}$
b. P là bội của 4 ⇒ P = 4k ( k ∈ N )
⇔ $\frac{2(x-1)}{x-2}$ = 4k
⇔ $\frac{x-1}{x-2}$ = 2k
Do k ∈ N ⇒ $\frac{x-1}{x-2}$ ∈ N
⇒ x - 1 $\vdots$ x - 2
⇔ ( x - 2 ) + 1 $\vdots$ x - 2
⇔ 1 $\vdots$ x - 2
⇒ x - 2 ∈ ước của 1 = { ±1 }
⇔ x = { 1; 3 }
Thử lại
+ x = 1 ⇒ P = 0 $\vdots$ 4 ( TM )
+ x = 3 ⇒ P = 4 $\vdots$ 4 ( TM )
Hãy giúp mọi người biết câu trả lời này thế nào?
Bảng tin