Vui lòng chỉ chọn một câu hỏi
Hoidap247.com Nhanh chóng, chính xác
+
Danh mục mới
0
6
Hãy luôn nhớ cảm ơn và vote 5* nếu câu trả lời hữu ích nhé!
10599
102337
7973
Đây là câu trả lời đã được xác thực
Câu trả lời được xác thực chứa thông tin chính xác và đáng tin cậy, được xác nhận hoặc trả lời bởi các chuyên gia, giáo viên hàng đầu của chúng tôi.
Đáp án: Trong hình
Giải thích các bước giải:
Hãy giúp mọi người biết câu trả lời này thế nào?
2641
20727
3059
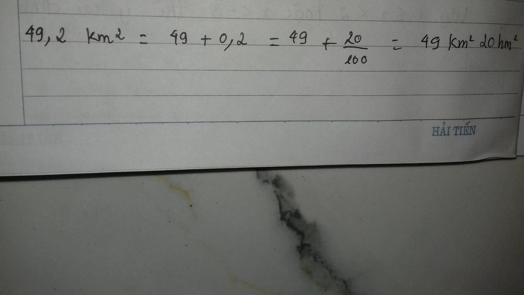
sai rồi 49 km2 20 hm2 sửa ddi
Vậy ạ 😅
49
1656
38
Đáp án:
Cách của tui cũng được mà nhỉ ._.
Bảng tin
Gửi yêu cầu Hủy
2641
20727
3059
sai rồi 49 km2 20 hm2 sửa ddi
10599
102337
7973
Vậy ạ 😅