

Hãy luôn nhớ cảm ơn và vote 5*
nếu câu trả lời hữu ích nhé!
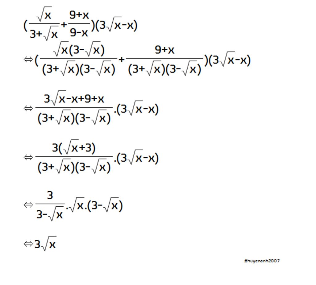
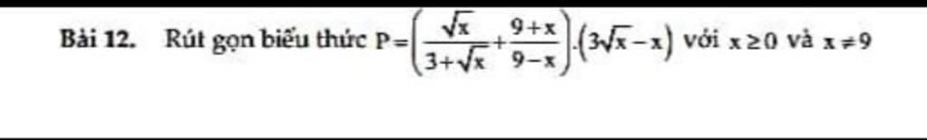
`ĐKXĐ: x>=0; x\ne9`
`P=(\sqrt{x}/(3+\sqrt{x})+(9+x)/(9-x)).(3\sqrt{x}-x)`
`P=[\sqrt{x}/(3+\sqrt{x})+(9+x)/((3+\sqrt{x})(3-\sqrt{x}))].\sqrt{x}(3-\sqrt{x})`
`P=(\sqrt{x}(3-\sqrt{x})+(9+x))/((3+\sqrt{x})(3-\sqrt{x})).\sqrt{x}(3-\sqrt{x})`
`P=(3\sqrt{x}-x+9+x)/((3+\sqrt{x})(3-\sqrt{x})).\sqrt{x}(3-\sqrt{x})`
`P=(3\sqrt{x}+9)/((3+\sqrt{x})(3-\sqrt{x})).\sqrt{x}(3-\sqrt{x})`
`P=(3(\sqrt{x}+3))/((3+\sqrt{x})(3-\sqrt{x})).\sqrt{x}(3-\sqrt{x})`
`P=3\sqrt{x}`
Vậy với `x>=0; x\ne9` thì `P=3\sqrt{x}`
Hãy giúp mọi người biết câu trả lời này thế nào?

Bảng tin
22
1397
8
Ủa, lại là bạn à , cảm ơn bạn nhìu nha !
60
25
59
Uk