

Hãy luôn nhớ cảm ơn và vote 5*
nếu câu trả lời hữu ích nhé!
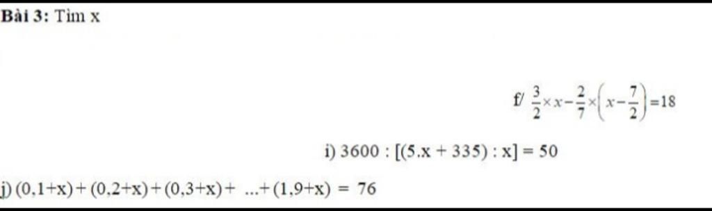
`f)`
`3/2 × x - 2/7 ×(x - 7/2) = 18`
`3/2 × x - 2/7 × x + 1 = 18`
`x × (3/2 - 2/7) = 18 - 1 = 17`
`x × 17/14 = 17`
`⇒ x = 17 : 17/14 = 14`
`i)`
`3600 : [(5 × x + 335) : x] = 50`
`(5 × x + 335) : x = 3600 : 50 = 72`
`5 × x + 335 = 72 × x`
`335 = 72 × x - 5 × x = 67 × x`
`x = 335 : 67 = 5`
`j)`
`(0,1 + x) + (0,2 + x) + ........... + (1,9 + x) = 76`
`(0,1 + 0,2 + .............. + 1,9) + (x + x + ...... + x) = 76`
`Đặt A = 0,1 + 0,2 + .............. + 1,9`
` A = 1,9 + 1,8 + .............. + 0,1`
` 2A = 2 + 2 + ................ + 2 ( có 19 số 2)`
` 2A = 2 × 19 = 38`
` A = 38 : 2 = 19`
`⇒ 19 + 19x = 76`
`19x = 57`
`x = 3`
Hãy giúp mọi người biết câu trả lời này thế nào?
`f)`
`3/2×x-2/7×(x-7/2)=18`
`⇔3/2×x-2/7×x+2/7×7/2=18`
`⇔3/2×x-2/7×x+1=18`
`⇔x×(3/2-2/7)=17`
`⇔x×17/14=17`
`⇔x=14`
Vậy `x=14`
`i)`
`3600:[(5x+335):x]=50`
`⇔(5.x+335):x=72`
`⇔5.x+335=72.x`
`⇔72.x-5.x=335`
`⇔x.(72-5)=335`
`⇔x.67=335`
`⇔x=5`
Vậy `x=5`
`j)`
`(0,1+x)+(0,2+x)+(0,3+x)+...+(1,9+x)=76`
`⇔0,1+x+0,2+x+0,3+...+1,9+x=76`
`⇔19x+(0,1+0,2+0,3+...+1,9)=76` (Từ 0,1 đến 1,9 có 19 số)
`⇔19x+[(1,9+0,1)×19:2]=76`
`⇔19x+19=76`
`⇔19x=57`
`⇔x=3`
Vậy `x=3`
Hãy giúp mọi người biết câu trả lời này thế nào?
Bảng tin