

Hãy luôn nhớ cảm ơn và vote 5*
nếu câu trả lời hữu ích nhé!
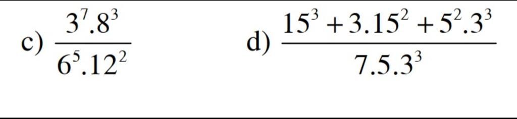
`a, (3^7. 8^3)/(6^5. 12^2)`
`= (3^7. (2^3)^3)/((2. 3)^5. (3. 2^2)^2)`
`= (3^7. 2^9)/(2^5. 3^5. 3^2. 2^4)`
`= (3^7. 2^9)/(2^9. 3^7)`
`= 1`
`b, (15^3 + 3. 15^2 + 5^2. 3^3)/(7. 5. 3^3)`
`= ((3. 5)^3 + 3. (3. 5)^2 + 5^2. 3^3)/(7. 5. 3^3)`
`= (3^3. 5^3 + 3^3. 5^2 + 5^2. 3^3)/(7. 5. 3^3)`
`= (3^3. 5^2. (5 + 1 + 1))/(7. 5. 3^3)`
`= (3^3. 5^2. 7)/(7. 5. 3^3)`
`= 5`
Hãy giúp mọi người biết câu trả lời này thế nào?

`a, (3^7. 8^3)/(6^5. 12^2)`
`= (3^7. 2^9)/(2^5. 3^5. 3^2. 2^4)`
`= (3^7. 2^9)/(2^9. 3^7)`
`= 1`
`b, (15^3 + 3. 15^2 + 5^2. 3^3)/(7. 5. 3^3)`
`= (3^3. 5^3 + 3^3. 5^2 + 5^2. 3^3)/(7. 5. 3^3)`
`= (3^3. 5^2. (5 + 1 + 1))/(7. 5. 3^3)`
`= (3^3. 5^2. 7)/(7. 5. 3^3)`
`= 5`
Hãy giúp mọi người biết câu trả lời này thế nào?

Bảng tin