

Hãy luôn nhớ cảm ơn và vote 5*
nếu câu trả lời hữu ích nhé!
Đáp án:
Giải thích các bước giải:
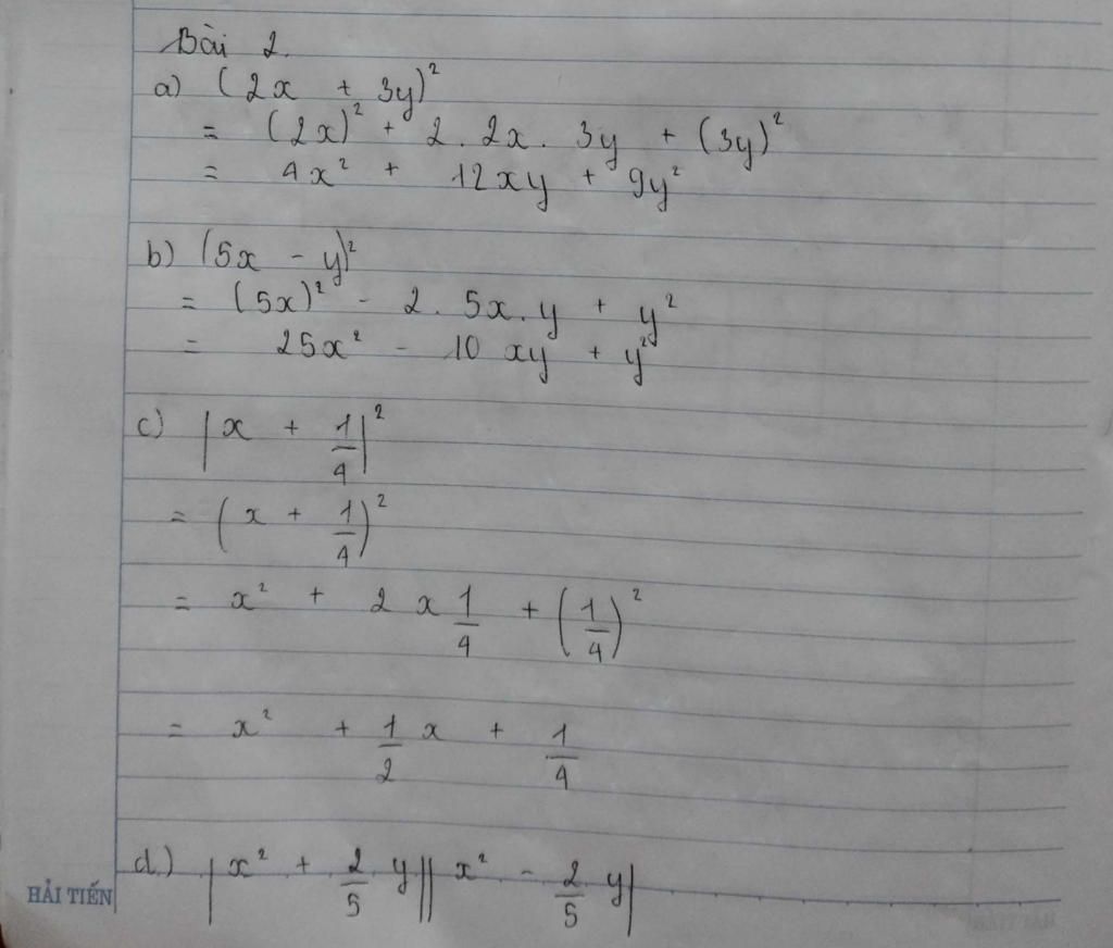
a (2x+3y)²=4x²+12xy+9y²
b(5x-y)²=25x²-10xy+y²
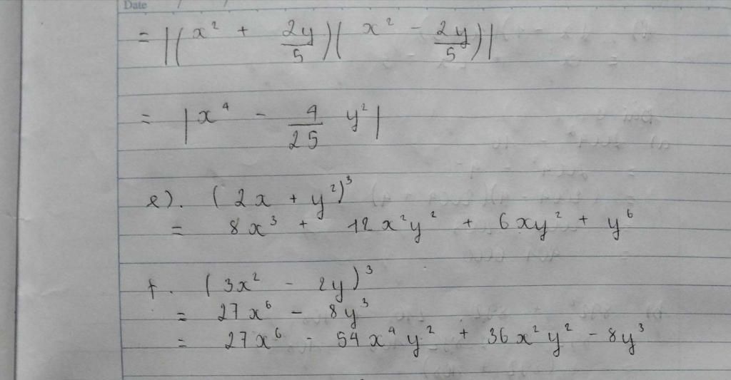
c lx+$\frac{1}{4}$l²
=(x+$\frac{1}{4}$ )²
=x²+$\frac{1}{2}$ x+$\frac{1}{16}$
e (2x+y²)³=(2x)³+3(2x)²y²+3.2x(y²)²+(y²)³
=8x³+12x²y²+6xy4+y∧6
Hãy giúp mọi người biết câu trả lời này thế nào?

Bảng tin